
河洛古碑博览
两程夫子祠堂碑
胡树青(古文化学者)
十多年前为了撰写《“两程”与偃师的渊源》,笔者曾几次造访緱氏镇程村,希望能了解一些与两程有关的逸闻轶事。非常令人满意,在程村还真得发现一些与“两程”有关的传说和遗物而以程村原有的的祠堂最值得关注。
我在程村走访时,曾听一位70多岁的程姓村民说,他家就住在原来的祠堂附近。说他们的祠堂毁于上世纪50年代,原本筹划着重建,但因一些原因,重建被搁置。我问祠堂内的情景,他说,他记得祠堂中还塑有神像,是两位先生。
听到这里,坚定了我的判断:程村跟两程夫子肯定有非同一般的关系。
在街道空闲处看到几块碑石,有的已经严重残缺,其中有一通却很完整,碑石上的文字尚可辨认。

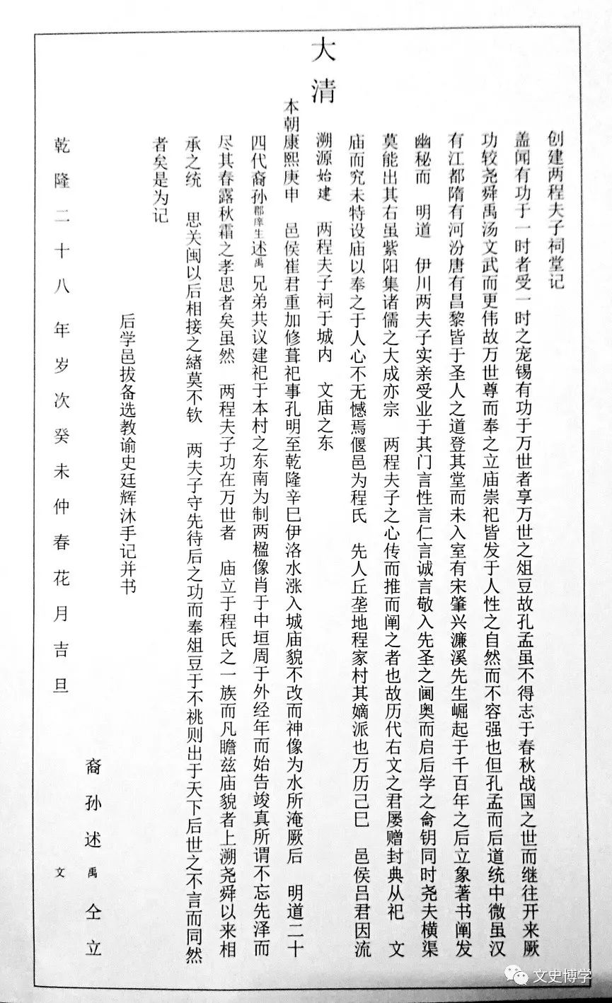
半圆形的碑首正中阴刻两个楷书大字——“大清”,大字两旁分别线刻日华、月华图案,碑身(阳面)四周线刻着俗称“富贵不断头儿”的二方连续图案。我知道这是清朝碑刻的常见样式,我就迫不及待地去查看碑文。稀罕的是,我们见惯了通过“书丹”完成的楷体碑文,却没见过用宋体字刻出的碑文。

我就近拔了一些藤蔓植物,扫去碑石上面的泥土,甚至把碑石表面擦成深绿色,这便意想不到地使碑石上的文字一行一行地显露了出来。左侧一行落款为:“乾隆二十八年岁次癸未仲春花月”。右侧第一行是标题:“创建两程夫子祠堂记”。祠堂!两程祠堂的碑,正是我求之不得的文物啊!

于是我先用数码相机拍了几张照片,然后逐字逐句通读碑文。可喜碑文没有几个文字被损坏,也没有生僻难认的字。回到家里,整理出完整碑文如下:
创建两程夫子祠堂记
胡树青 点校
盖闻,有功于一时者,受一时之宠锡;有功于万世者,享万世之俎豆。故孔、孟虽不得志于春秋战国之世,而继往开来,厥功较尧、舜、禹、汤、文、武而更伟。故万世尊而奉之,立庙崇祀,皆发于人性之自然,而不容强也。但孔孟而后,道统中微。虽汉有江都,隋有河汾,唐有昌黎,皆于圣人之道登其堂而未入室。有宋肇兴,濂溪先生崛起于千百年之后,立象著书,阐发幽秘,而明道、伊川两夫子,实亲受业于其门。言性,言仁,言诚,言敬,入先圣之阃奥,而启后学之龠钥。同时尧夫、横渠,莫能出其右。虽紫阳集诸儒之大成,亦宗两程夫子之心传而推而阐之者也。故历代右文之君,屡赠封典,从祀文庙。而究未绪设庙以奉之,于人心不无憾焉!偃邑为程氏先人丘垄地,程家村其嫡派也!万历己巳,邑侯吕君因流溯源,始建两程夫子祠于城内文庙之东。本朝康熙庚申,邑侯崔君重加修葺,祀事孔明。至乾隆辛巳,伊洛水涨入城,庙貌不改而神像为水所淹。厥后明道二十四代裔孙(郡庠生)述禹、述文 兄弟共议建祀于本村之东南,为制两楹。像肖于中,垣周于外。经年而始告竣。真所谓不忘先泽而尽其春露秋霜之孝思者矣!虽然,两程夫子功在万世者,庙立于程氏之一族,而凡瞻兹庙貌者,上溯尧舜以来相承之统,思关、闽以后相接之緖,莫不钦两夫子守先待后之功,而奉俎豆于不祧则出于天下后世之不言而同然者矣!是为记。
后学邑拔备选教谕史廷辉沐手记 并 书
裔孙述禹、述文 仝 立
乾隆二十八年岁次癸未仲春花月 吉 旦
对于两程祠,明清以来的偃师县志均有记载,偃师县城的两程书院、两程祠为明朝万历年间偃师知县吕纯如创建。清顺治十六年偃师县志载有吕纯如《二程夫子祠记》下款为“万历乙巳(公元1605)四月”;乾隆五十四年《偃师县志》《图绘》有《两程书院图》《两程祠图》。
两程夫子祠堂为啥要迁建?《创建两程夫子祠堂记》碑文说:“乾隆辛巳(公元1701)年,伊洛水涨入城,庙貌不改,而神像为水所淹”,因此迁建两程夫子祠堂势在必行。
为啥程村会成为再建地的首选?吕纯如《二程夫子祠记》云:“今按其谱(程氏族谱),程氏自太宗朝赐第京师,遂由中山入洛。而大中公讳珦(两程夫子之父程珦)者,则葬于缑氏之东南麓”——吕纯如如是说。又说:“今奉祀生程之俊,犹明道二十一代孙耳”。“奉祀生”是明朝(清朝亦然)“编制”内的职衔,负责前代忠臣贤圣的例行祭祀之事,通常由所祀先贤的嫡孙、裔孙任。据笔者所知,明清的“两程”奉祀生都授有当朝所封赐的“世袭五经博士”印信。吕纯如还说“孟子曰:‘去圣人之世,若此之未远也;近圣人之居,若此其甚也。’在他治(其他州县治所)尚有专祠,矧此桑梓丘陇之地,华表岿然,翁仲屹然,而顾令祠宇不举,血食不修!地方之羞也,亦有司之罪也!”故而他不无感慨地说:“不佞(自谦之自称)为此惧,遴(选择)于城内之东北隅,得隙地一区,谋祠祀之。”乾隆偃师县志《图绘)所载,与此相符。
《创建两程夫子祠堂记》碑文也说:“偃邑为程氏先人丘垄(坟茔)地,程家村其嫡派也!”程村就是两程夫子的嫡系支脉所在。有这样的条件,所以“厥后,明道二十四代裔孙郡庠生述、禹兄弟,共议建祀于本村之东南,为制两楹像肖于中。”按碑文原话,明道(程大夫子)的两个裔孙程述、程禹兄弟俩同时都是庠生(生员、秀才),兄弟俩为首,共议建祠堂于程村之东南,祠堂大小为“两楹”,祠堂中塑有两程夫子的肖像。
最后说,这样一来,两程夫子功在万世者,祠庙立在程氏族居地,而凡来此瞻仰庙貌者,上溯尧舜以来相承之统,思关、闽(关学张载所创、闽学朱熹所创)都是理学学派,都是洛学(两程所创)的以后继者)相接之緖,没有不钦两夫子守先待后之功,而奉俎豆于不祧则出于天下后世之不言而同然者矣!
碑文叙事简洁,说理清楚,晓畅易懂。
当然,那一次的访求,主要收获是对金故少中大夫程震墓碑的全面了解,还看到了几通与程氏元、明时代的名人有关的残碑,若有机会,将逐一给大家分享。
