
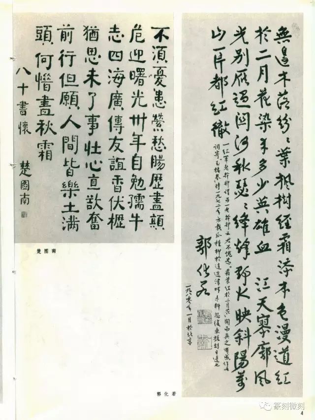
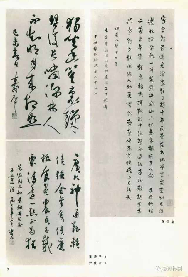
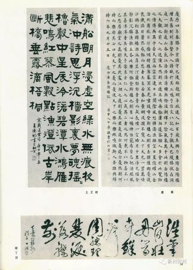
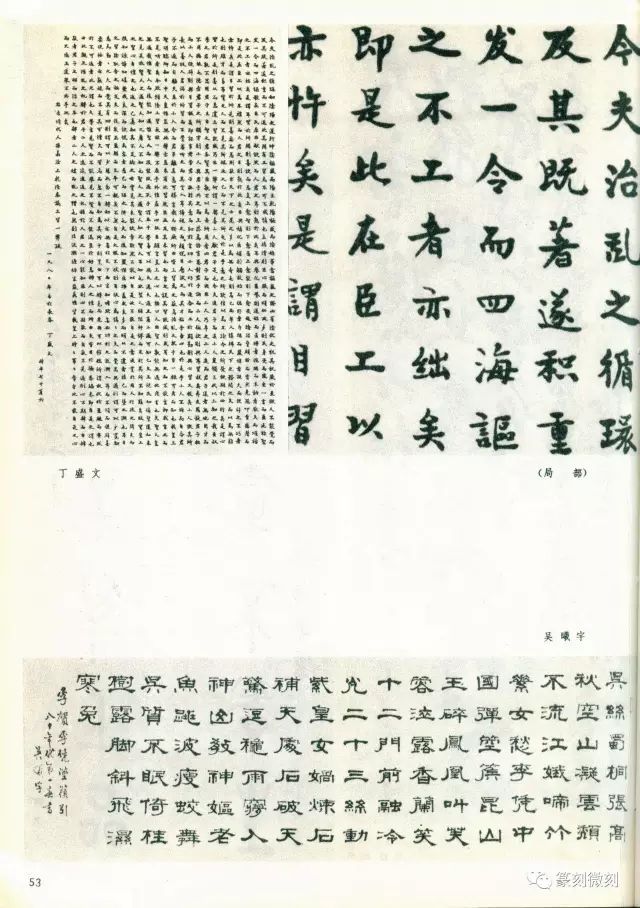
1980年5月,全国第一届书法篆刻展览(国展)在沈阳展出,现与大家分享由人民美术出版社编印的作品集,该书总计收录书法作品420件,篆刻154方,其中不乏舒同、林散之、赵朴初、沙孟海、郭沫若、启功、沈尹默、丰子恺、潘天寿、沈鹏、康雍、刘炳森、费新我、苏士澍、周慧珺、陈佩秋、聂成文、魏启后、尉天池、赖少其、王冬龄、吴善璋等当代名家早期作品,估计大部分书友应该没有看过。
特别提醒:图片数量较多,请WIFI环境下观看


































推荐:购买书画新生力参国展上等兰亭正宗鼠须兼毫进店途径
1,复制下方红色淘宝链接内容到淘宝打开
49啊学这是好他可里好好不家微 https://m.tb.cn/h.fg6HQDj?sm=0abb27 书画新生力参国展上等兰亭正宗鼠须兼毫套装优质欧楷行草专用毛笔




























