

2026年1月底,各家上市公司完成了2025年度业绩预告的披露,人生奈何几多愁,有人欢喜有人忧呀,我们今天就来看一下2026年可能被实施退市风险警示的这些上市公司。
一、可能被实施退市风险警示的上市公司名单
根据各家上市公司的信息披露情况,经过博主的初步检索,发现49家上市公司可能于近期被交易所实施退市风险警示。其中,涉及深交所的上市公司有19家,涉及深交所的上市公司有28家,涉及北交所的上市公司有2家,具体情况如下:
序号 | 上市公司名称 | 股票代码 | 交易所 |
1 | 广西东方智造科技股份有限公司 | 002175 | 深交所 |
2 | 航天宏图信息技术股份有限公司 | 688066 | 上交所科创板 |
3 | 金通灵科技集团股份有限公司 | 300091 | 深交所创业板 |
4 | 湖北美尔雅股份有限公司 | 600107 | 上交所 |
5 | 数源科技股份有限公司 | 000909 | 深交所 |
6 | 甘肃莫高实业发展股份有限公司 | 600543 | 上交所 |
7 | 康佳集团股份有限公司 | 000016 | 深交所 |
8 | 南京化纤股份有限公司 | 600889 | 上交所 |
9 | 深圳市皇庭国际企业股份有限公司 | 000056 | 深交所 |
10 | 财信地产发展集团股份有限公司 | 000838 | 深交所 |
11 | 上海海利生物技术股份有限公司 | 603718 | 上交所 |
12 | 苏州春兴精工股份有限公司 | 002547 | 深交所 |
13 | 顾地科技股份有限公司 | 002694 | 深交所 |
14 | 华西能源工业股份有限公司 | 002630 | 深交所 |
15 | 江苏三六五网络股份有限公司 | 300295 | 深交所创业板 |
16 | 安徽集友新材料股份有限公司 | 603429 | 上交所 |
17 | 广西农投糖业集团股份有限公司 | 000911 | 深交所 |
18 | 吉林利源精制股份有限公司 | 002501 | 深交所 |
19 | 中国高科集团股份有限公司 | 600730 | 上交所 |
20 | 广州禾信仪器股份有限公司 | 688622 | 上交所科创板 |
21 | 浙江棒杰控股集团股份有限公司 | 002634 | 深交所 |
22 | 湖南湘邮科技股份有限公司 | 600476 | 上交所 |
23 | 西安旅游股份有限公司 | 000610 | 深交所 |
24 | 岭南生态文旅股份有限公司 | 002717 | 深交所 |
25 | 北京易华录信息技术股份有限公司 | 300212 | 深交所创业板 |
26 | 华谊兄弟传媒股份有限公司 | 300027 | 深交所创业板 |
27 | 深圳瑞和建筑装饰股份有限公司 | 002620 | 深交所 |
28 | 北京中迪投资股份有限公司 | 000609 | 深交所 |
29 | 启迪环境科技发展股份有限公司 | 000826 | 深交所 |
30 | 深圳奥特迅电力设备股份有限公司 | 002227 | 深交所 |
31 | 山东数字人科技股份有限公司 | 920670 | 北交所 |
32 | 黑龙江国中水务股份有限公司 | 600187 | 上交所 |
33 | 田野创新股份有限公司 | 920023 | 北交所 |
34 | 长发集团长江投资实业股份有限公司 | 600119 | 上交所 |
35 | 起步股份有限公司 | 603557 | 上交所 |
36 | 江苏中设集团股份有限公司 | 002883 | 深交所 |
37 | 立方数科股份有限公司 | 300344 | 深交所创业板 |
38 | 山东新华锦国际股份有限公司 | 600735 | 上交所 |
39 | 福建纳川管材科技股份有限公司 | 300198 | 深交所创业板 |
40 | 深圳英飞拓科技股份有限公司 | 002528 | 深交所 |
41 | 云南景谷林业股份有限公司 | 600265 | 上交所 |
42 | 新疆八一钢铁股份有限公司 | 600581 | 上交所 |
43 | 山东华鹏玻璃股份有限公司 | 603021 | 上交所 |
44 | 浙江帅丰电器股份有限公司 | 605336 | 上交所 |
45 | 深圳市赛为智能股份有限公司 | 300044 | 深交所创业板 |
46 | 成都天箭科技股份有限公司 | 002977 | 深交所 |
47 | 亿晶光电科技股份有限公司 | 600537 | 上交所 |
48 | 华夏幸福基业股份有限公司 | 600340 | 上交所 |
49 | 雄安新动力科技股份有限公司 | 300152 | 深交所创业板 |
二、被实施退市风险警示的类型
根据各交易所的股票上市规则的规定,退市风险警示的类型分为:交易类强制退市、财务类强制退市、规范类强制退市和重大违法类强制退市。根据博主的公开检索,涉及财务类强制退市的上市公司有44家,涉及规范类强制退市的上市公司有5家,涉及重大违法类强制退市的上市公司有1家,暂未发现有上市公司涉及交易类强制退市,具体情况如下:
(一)财务类强制退市的上市公司
序号 | 上市公司名称 | 股票代码 | 退市风险警示类型 |
1 | 广西东方智造科技股份有限公司 | 002175 | 财务类强制退市 |
2 | 航天宏图信息技术股份有限公司 | 688066 | 财务类强制退市 |
3 | 金通灵科技集团股份有限公司 | 300091 | 财务类强制退市 |
4 | 湖北美尔雅股份有限公司 | 600107 | 财务类强制退市 |
5 | 数源科技股份有限公司 | 000909 | 财务类强制退市 |
6 | 甘肃莫高实业发展股份有限公司 | 600543 | 财务类强制退市 |
7 | 康佳集团股份有限公司 | 000016 | 财务类强制退市 |
8 | 南京化纤股份有限公司 | 600889 | 财务类强制退市 |
9 | 深圳市皇庭国际企业股份有限公司 | 000056 | 财务类强制退市 |
10 | 财信地产发展集团股份有限公司 | 000838 | 财务类强制退市 |
11 | 上海海利生物技术股份有限公司 | 603718 | 财务类强制退市 |
12 | 苏州春兴精工股份有限公司 | 002547 | 财务类强制退市 |
13 | 顾地科技股份有限公司 | 002694 | 财务类强制退市 |
14 | 华西能源工业股份有限公司 | 002630 | 财务类强制退市 |
15 | 江苏三六五网络股份有限公司 | 300295 | 财务类强制退市 |
16 | 安徽集友新材料股份有限公司 | 603429 | 财务类强制退市 |
17 | 广西农投糖业集团股份有限公司 | 000911 | 财务类强制退市 |
18 | 吉林利源精制股份有限公司 | 002501 | 财务类强制退市 |
19 | 中国高科集团股份有限公司 | 600730 | 财务类强制退市 |
20 | 广州禾信仪器股份有限公司 | 688622 | 财务类强制退市 |
21 | 浙江棒杰控股集团股份有限公司 | 002634 | 财务类强制退市 |
22 | 湖南湘邮科技股份有限公司 | 600476 | 财务类强制退市 |
23 | 西安旅游股份有限公司 | 000610 | 财务类强制退市 |
24 | 岭南生态文旅股份有限公司 | 002717 | 财务类强制退市 |
25 | 北京易华录信息技术股份有限公司 | 300212 | 财务类强制退市 |
26 | 华谊兄弟传媒股份有限公司 | 300027 | 财务类强制退市 |
27 | 深圳瑞和建筑装饰股份有限公司 | 002620 | 财务类强制退市 |
28 | 北京中迪投资股份有限公司 | 000609 | 财务类强制退市 |
29 | 启迪环境科技发展股份有限公司 | 000826 | 财务类强制退市 |
30 | 深圳奥特迅电力设备股份有限公司 | 002227 | 财务类强制退市 |
31 | 黑龙江国中水务股份有限公司 | 600187 | 财务类强制退市 |
32 | 长发集团长江投资实业股份有限公司 | 600119 | 财务类强制退市 |
33 | 起步股份有限公司 | 603557 | 财务类强制退市 |
34 | 江苏中设集团股份有限公司 | 002883 | 财务类强制退市 |
35 | 福建纳川管材科技股份有限公司 | 300198 | 财务类强制退市+规范类强制退市 |
36 | 深圳英飞拓科技股份有限公司 | 002528 | 财务类强制退市 |
37 | 云南景谷林业股份有限公司 | 600265 | 财务类强制退市 |
38 | 新疆八一钢铁股份有限公司 | 600581 | 财务类强制退市 |
39 | 山东华鹏玻璃股份有限公司 | 603021 | 财务类强制退市 |
40 | 浙江帅丰电器股份有限公司 | 605336 | 财务类强制退市 |
41 | 深圳市赛为智能股份有限公司 | 300044 | 财务类强制退市 |
42 | 成都天箭科技股份有限公司 | 002977 | 财务类强制退市 |
43 | 亿晶光电科技股份有限公司 | 600537 | 财务类强制退市 |
44 | 华夏幸福基业股份有限公司 | 600340 | 财务类强制退市 |
(二)规范类强制退市的上市公司
序号 | 上市公司名称 | 股票代码 | 退市风险警示类型 |
1 | 山东数字人科技股份有限公司 | 920670 | 规范类强制退市 |
2 | 田野创新股份有限公司 | 920023 | 规范类强制退市 |
3 | 山东新华锦国际股份有限公司 | 600735 | 规范类强制退市 |
4 | 福建纳川管材科技股份有限公司 | 300198 | 财务类强制退市+规范类强制退市 |
5 | 雄安新动力科技股份有限公司 | 300152 | 规范类强制退市 |
(三)重大违法类强制退市的上市公司
序号 | 上市公司名称 | 股票代码 | 退市风险警示类型 |
1 | 立方数科股份有限公司 | 300344 | 重大违法强制退市 |
三、被实施退市风险警示的具体原因
根据博主的公开检索,各家上市公司被实施退市风险警示的具体原因如下:
(一)财务类强制退市
序号 | 上市公司名称 | 可能被实施退市风险警示的具体原因 |
1 | 广西东方智造科技股份有限公司 | 最近一个会计年度经审计的利润总额、净利润、扣除非经常性损益后的净利润三者孰低为负值,且扣除后的营业收入低于3亿元 |
2 | 航天宏图信息技术股份有限公司 | 最近一个会计年度经审计的期末净资产为负值 |
3 | 金通灵科技集团股份有限公司 | 最近一个会计年度经审计的期末净资产为负值 |
4 | 湖北美尔雅股份有限公司 | 最近一个会计年度经审计的利润总额、净利润、扣除非经常性损益后的净利润三者孰低为负值,且扣除后的营业收入低于3亿元 |
5 | 数源科技股份有限公司 | 最近一个会计年度经审计的利润总额、净利润、扣除非经常性损益后的净利润三者孰低为负值,且扣除后的营业收入低于3亿元 |
6 | 甘肃莫高实业发展股份有限公司 | 最近一个会计年度经审计的利润总额、净利润、扣除非经常性损益后的净利润三者孰低为负值,且扣除后的营业收入低于3亿元 |
7 | 康佳集团股份有限公司 | 最近一个会计年度经审计的期末净资产为负值 |
8 | 南京化纤股份有限公司 | 最近一个会计年度经审计的利润总额、净利润、扣除非经常性损益后的净利润三者孰低为负值,且扣除后的营业收入低于3亿元 |
9 | 深圳市皇庭国际企业股份有限公司 | 最近一个会计年度经审计的期末净资产为负值 |
10 | 财信地产发展集团股份有限公司 | 最近一个会计年度经审计的利润总额、净利润、扣除非经常性损益后的净利润三者孰低为负值,且扣除后的营业收入低于3亿元;最近一个会计年度经审计的期末净资产为负值 |
11 | 上海海利生物技术股份有限公司 | 最近一个会计年度经审计的利润总额、净利润、扣除非经常性损益后的净利润三者孰低为负值,且扣除后的营业收入低于3亿元 |
12 | 苏州春兴精工股份有限公司 | 最近一个会计年度经审计的期末净资产为负值 |
13 | 顾地科技股份有限公司 | 最近一个会计年度经审计的期末净资产为负值 |
14 | 华西能源工业股份有限公司 | 最近一个会计年度经审计的期末净资产为负值 |
15 | 江苏三六五网络股份有限公司 | 最近一个会计年度经审计的利润总额、净利润、扣除非经常性损益后的净利润三者孰低为负值,且扣除后的营业收入低于1亿元 |
16 | 安徽集友新材料股份有限公司 | 最近一个会计年度经审计的利润总额、净利润、扣除非经常性损益后的净利润三者孰低为负值,且扣除后的营业收入低于3亿元 |
17 | 广西农投糖业集团股份有限公司 | 最近一个会计年度经审计的期末净资产为负值 |
18 | 吉林利源精制股份有限公司 | 最近一个会计年度经审计的利润总额、净利润、扣除非经常性损益后的净利润三者孰低为负值,且扣除后的营业收入低于3亿元 |
19 | 中国高科集团股份有限公司 | 最近一个会计年度经审计的利润总额、净利润、扣除非经常性损益后的净利润三者孰低为负值,且扣除后的营业收入低于3亿元 |
20 | 广州禾信仪器股份有限公司 | 最近一个会计年度经审计的利润总额、净利润、扣除非经常性损益后的净利润三者孰低为负值,且扣除后的营业收入低于1亿元 |
21 | 浙江棒杰控股集团股份有限公司 | 最近一个会计年度经审计的期末净资产为负值 |
22 | 湖南湘邮科技股份有限公司 | 最近一个会计年度经审计的期末净资产为负值 |
23 | 西安旅游股份有限公司 | 最近一个会计年度经审计的期末净资产为负值 |
24 | 岭南生态文旅股份有限公司 | 最近一个会计年度经审计的利润总额、净利润、扣除非经常性损益后的净利润三者孰低为负值,且扣除后的营业收入低于3亿元;最近一个会计年度经审计的期末净资产为负值 |
25 | 北京易华录信息技术股份有限公司 | 最近一个会计年度经审计的期末净资产为负值 |
26 | 华谊兄弟传媒股份有限公司 | 最近一个会计年度经审计的期末净资产为负值 |
27 | 深圳瑞和建筑装饰股份有限公司 | 最近一个会计年度经审计的期末净资产为负值 |
28 | 北京中迪投资股份有限公司 | 最近一个会计年度经审计的利润总额、净利润、扣除非经常性损益后的净利润三者孰低为负值,且扣除后的营业收入低于3亿元;最近一个会计年度经审计的期末净资产为负值 |
29 | 启迪环境科技发展股份有限公司 | 最近一个会计年度经审计的期末净资产为负值 |
30 | 深圳奥特迅电力设备股份有限公司 | 最近一个会计年度经审计的利润总额、净利润、扣除非经常性损益后的净利润三者孰低为负值,且扣除后的营业收入低于3亿元 |
31 | 黑龙江国中水务股份有限公司 | 最近一个会计年度经审计的利润总额、净利润、扣除非经常性损益后的净利润三者孰低为负值,且扣除后的营业收入低于3亿元 |
32 | 长发集团长江投资实业股份有限公司 | 最近一个会计年度经审计的利润总额、净利润、扣除非经常性损益后的净利润三者孰低为负值,且扣除后的营业收入低于3亿元 |
33 | 起步股份有限公司 | 最近一个会计年度经审计的利润总额、净利润、扣除非经常性损益后的净利润三者孰低为负值,且扣除后的营业收入低于3亿元 |
34 | 江苏中设集团股份有限公司 | 最近一个会计年度经审计的利润总额、净利润、扣除非经常性损益后的净利润三者孰低为负值,且扣除后的营业收入低于3亿元 |
35 | 福建纳川管材科技股份有限公司 | 最近一个会计年度经审计的利润总额、净利润、扣除非经常性损益后的净利润三者孰低为负值,且扣除后的营业收入低于1亿元;最近一个会计年度经审计的期末净资产为负值;连续两个会计年度财务报告内部控制被出具无法表示意见或者否定意见的审计报告,或者未按照规定披露财务报告内部控制审计报告 |
36 | 深圳英飞拓科技股份有限公司 | 最近一个会计年度经审计的期末净资产为负值 |
37 | 云南景谷林业股份有限公司 | 最近一个会计年度经审计的利润总额、净利润、扣除非经常性损益后的净利润三者孰低为负值,且扣除后的营业收入低于3亿元 |
38 | 新疆八一钢铁股份有限公司 | 最近一个会计年度经审计的期末净资产为负值 |
39 | 山东华鹏玻璃股份有限公司 | 最近一个会计年度经审计的期末净资产为负值 |
40 | 浙江帅丰电器股份有限公司 | 最近一个会计年度经审计的利润总额、净利润、扣除非经常性损益后的净利润三者孰低为负值,且扣除后的营业收入低于3亿元 |
41 | 深圳市赛为智能股份有限公司 | 最近一个会计年度经审计的期末净资产为负值 |
42 | 成都天箭科技股份有限公司 | 最近一个会计年度经审计的利润总额、净利润、扣除非经常性损益后的净利润三者孰低为负值,且扣除后的营业收入低于3亿元 |
43 | 亿晶光电科技股份有限公司 | 最近一个会计年度经审计的期末净资产为负值 |
44 | 华夏幸福基业股份有限公司 | 最近一个会计年度经审计的期末净资产为负值 |
(二)规范类强制退市
序号 | 上市公司名称 | 可能被实施退市风险警示的具体原因 |
1 | 山东数字人科技股份有限公司 | 首个会计年度财务报告内部控制被出具无法表示意见或否定意见的审计报告,或者未按照规定披露财务报告内部控制审计报告 |
2 | 田野创新股份有限公司 | 首个会计年度财务报告内部控制被出具无法表示意见或否定意见的审计报告,或者未按照规定披露财务报告内部控制审计报告 |
3 | 山东新华锦国际股份有限公司 | 公司被控股股东(无控股股东,则为第一大股东)及其关联人非经营性占用资金,余额达到最近一期经审计净资产绝对值30%以上,或者金额达到2亿元以上,被中国证监会责令改正但公司未在规定期限内改正,公司股票及其衍生品种自前述期限届满的次一交易日起停牌,此后公司在股票及其衍生品种停牌2个月内仍未改正 |
4 | 福建纳川管材科技股份有限公司 | 最近一个会计年度经审计的利润总额、净利润、扣除非经常性损益后的净利润三者孰低为负值,且扣除后的营业收入低于1 亿元;最近一个会计年度经审计的期末净资产为负值;连续两个会计年度财务报告内部控制被出具无法表示意见或者否定意见的审计报告,或者未按照规定披露财务报告内部控制审计报告 |
5 | 雄安新动力科技股份有限公司 | 首个会计年度财务报告内部控制被出具无法表示意见或否定意见的审计报告,或者未按照规定披露财务报告内部控制审计报告 |
(三)重大违法类强制退市
序号 | 上市公司名称 | 可能被实施退市风险警示的具体原因 |
1 | 立方数科股份有限公司 | 年度报告财务指标连续三年存在虚假记载;营业收入、净利润、利润总额、资产负债表等连续两年造假 |
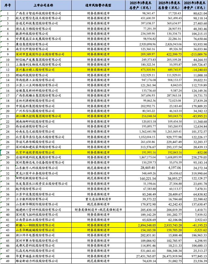
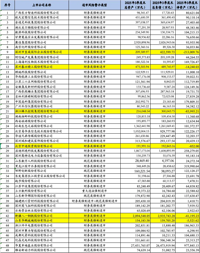
四、各家上市公司资产负债情况
资产负债情况是上市公司重要的财务指标之一,反映了上市公司血条的厚度以及是否具有挽救价值。根据博主的公开检索,各家上市公司截至2025年三季度末的资产负债情况如下:

根据上表,已经有6家上市公司三季度末的净资产指标被击穿,需要尽快启动自救措施,如不能在2026年12月31日前板正净资产指标,则2027年将会被交易所强制退市。
五、启动(预)重整的上市公司
根据博主的公开检索,上述49家上市公司中,有一家已经完成了重整,剩余6已经启动,甚至是进入了预重整程序自救,具体情况如下:
序号 | 上市公司名称 | 股票代码 | 是否(预)重整 |
1 | 金通灵科技集团股份有限公司 | 300091 | 重整完成 |
2 | 浙江棒杰控股集团股份有限公司 | 002634 | 预重整 |
3 | 深圳瑞和建筑装饰股份有限公司 | 002620 | 预重整 |
4 | 启迪环境科技发展股份有限公司 | 000826 | 预重整 |
5 | 福建纳川管材科技股份有限公司 | 300198 | 预重整 |
6 | 深圳市赛为智能股份有限公司 | 300044 | 预重整 |
7 | 华夏幸福基业股份有限公司 | 600340 | 预重整 |
对于上市公司而言,当其出现财务问题,进而被实施退市风险警示,进行自救保壳的方式多种多样,重整是其中最有力且效果最明显的方式。根据近年来上市公司破产重整的司法实践,只要拿到证监会关于重整的无异议函,基本就能实现保壳,只有极个别案例重整成功后依然被退市。
对于广大投资者来说,上市公司重整是一个不错的投资机会,投资方式既可以是债权投资,也可以是股权投资。债权投资一般情况下是通过上市公司(预)重整程序中的共益债务融资参与,或是收购上市公司的债权;股权投资则可以是以重整投资人的身份参与上市公司重整投资,以远低于市场价的价格获得上市公司转增股票,或是在较好的时间节点,通过二级市场买入股票,分享重整成功后的股价上升红利。后续,博主会持续关注上述具有重整价值的上市公司自救情况,并为大家作出分析。



