【【文末有下载方法】】
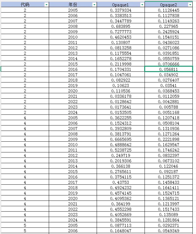
本数据参照Hutton等学者(2009)在其相关研究中所采用的做法,精心选取了特定指标来对上市公司信息透明度进行量化评估。具体而言,我们运用公司过去三年操控性应计项目绝对值之和这一指标,并将其命名为“Opaque”,以此作为衡量上市公司信息透明度的关键依据。
“Opaque”这一指标的数值大小与公司信息透明度之间存在着紧密且直观的负向关联。Opaque的数值越大,对应上市公司的信息透明度就越低。
数据名称:上市公司-信息透明度数据
数据年份:2005-2024年
参考文献:[1]曾春华,林仪凤.共同机构所有权与企业创新:协同治理与信息共享视角[J].科技进步与对策,2022,39(13):21-31.
相关数据
代码、年份、Opaque1、Opaque2。
数据截图

领取方法
领取方法
单击阅读原文直接获取下载地址
