小编
大家好,这里是数据智研公众号。我们是热衷于做经济类数据和地理类数据研究的小团队,我们会把我们整理过的数据整理好后分享出来。本公众号涉及的数据类型有:各类年鉴(包含地方年鉴、各省年鉴、各类行业相关年鉴等等)、各类报告(包括并不限于一些核心的公司年报、企业年报、行业报告等等)、面板数据(已经整理成xls格式的面板数据,方便进行各类研究分析,可直接用于模型使用等等)、地理类数据(各类气候、水系、路网、区划等等数据,主要使用软件arcmap等)、以及还有一些定制类数据。本公众号会不定期的进行活动,可以仅通过点赞和推荐即可获得数据,具体以推文为准。有需要数据或者是需要gis制图、指导等的可以通过公众号后台留言或者添加下方的客服进行联系。如果是获取免费数据的,请添加小编获取。
上市公司低空经济概念数据
小编
大家好,这里是数据智研公众号。我们是热衷于做经济类数据和地理类数据研究的小团队,我们会把我们整理过的数据整理好后分享出来。本公众号涉及的数据类型有:各类年鉴(包含地方年鉴、各省年鉴、各类行业相关年鉴等等)、各类报告(包括并不限于一些核心的公司年报、企业年报、行业报告等等)、面板数据(已经整理成xls格式的面板数据,方便进行各类研究分析,可直接用于模型使用等等)、地理类数据(各类气候、水系、路网、区划等等数据,主要使用软件arcmap等)、以及还有一些定制类数据。本公众号会不定期的进行活动,可以仅通过点赞和推荐即可获得数据,具体以推文为准。有需要数据或者是需要gis制图、指导等的可以通过公众号后台留言或者添加下方的客服进行联系。如果是获取免费数据的,请添加小编获取。
上市公司低空经济概念数据
数据介绍
数据概况
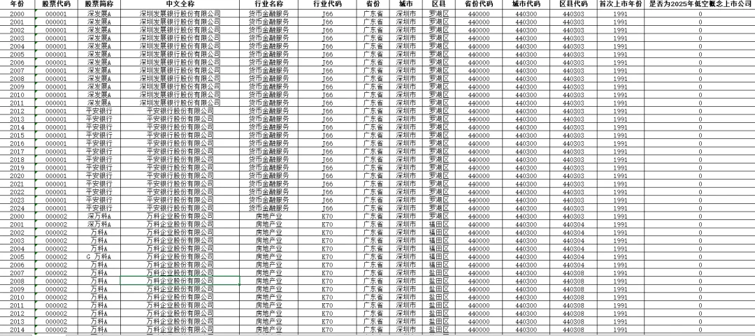
数据名称:上市公司“低空经济”概念数据(2000-2024年)
数据年份:2000-2024年
数据范围:A股上市公司
数据来源:东方财富网、同花顺网
数据指标:年份、股票代码、股票简称、中文全称、行业名称、行业代码、省份、城市、区县、省份代码、 城市代码、区县代码、首次上市年份、是否为2025年低空概念上市公司
本文参考孙嘉俊等(2025)在《“赋能” 抑或 “负能”:企业ESG表现与低空经济企业孵化》一文中关于低空经济概念上市企业名单的整理方法,筛选并整理了截至2025年12月低空概念上市企业名单,匹配形成上市公司“低空经济”概念数据。低空概念名单整理时间为2025年12月
整理与筛选方法:在东方财富与同花顺网中概念板块检索所有涵盖低空概念的上市企业,并手工整理上市公司数据,生成是否为2025年低空概念上市公司,若上市公司在低空概念公司清单中,则该指标取值为1,否则为0
什么是低空经济
以无人机物流为例,无人机物流就是使用无人机技术方案,为实现实体物品从供应地向接收地流通而进行的规划、实施和控制的过程。主要通过利用无线电遥控设备和自备的程序控制装置,操纵无人机运载相关物品并自动送达目的地。
2013年,美国亚马逊公司首次提出"物流无人机未端配送"概念,主要是指利用无人机将相关物品从物流服务商最后一个配送网点送至消费者。2017年,中国民用航空局首次批复在江西和陕西等地开展无人机物流配送应用试点,指出"无人机物流"是使用无人机开展快递物流配送。2018年,京东集团和顺丰速运获得中国民用航空局无人机物流配送试点类(有期限约束)的经营许可,在陕安、江赣州、四川川西等地开展无人物流配送,即:使用无人机开展生鲜及快件的运送。2020年开始,中国越来越多的无人机运营公司使用无人机开展同城即时配送服务,逐步解决"第一公里配送"和"最后一公里配送"等难题。
注:本文中的数据和指标仅为示例,实际数据请参考发布的上市公司“低空经济”概念数据(2000-2024年)
数据概览



数据跨度:上市公司“低空经济”概念数据(2000-2024年)
数据说明
1、数据来源网络收集2、本资源仅用作为学习用途,不能用于商业通途
3、数据整理不易,链接在推文发出后48小时内有效。过期请联系小编付费获取。
数据获取方式
更多数据请通过下方腾讯文档获取
