
1932
数字技术投入节奏(2007-2024)
数据简介
,因此本数据参考孙忠娟 、李花倩 、 柳学信(2025)的做法,构建技术人员投入节奏和数字资产投入节奏指标。“节奏”是指在特定时间段内战略活动频率的变化或规则化程度 。数字技术投入作为企业的一项周期性战略行动,表现为不断投入资金以购买技术基础设施、开发软件等,以及不断引进技术人员以满足技术变化需求 。 对于这种不确定性强、成本高、周期长的战略活动,企业必须积极地进行时间管理,适时调整要素的投入节奏,否则,可能造成投入大量资金而不能取得预期成效的局面。 基于此,本数据提出“数字技术投入节奏”这一概念,即在特定时间段内企业数字技术投入的规则化程度,并依据已有研究对企业内部创新资源的分类 ,将其分为技术人员投入节奏和数字资产投入节奏。
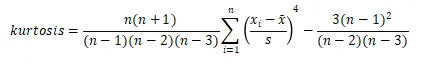
我们先利用企业技术人员与总员工数的比值衡量企业的技术人员投入强度。 具体而言,本数据根据公司人员结构表筛选出专业技术人员相关数据,在此基础上计算企业技术人员投入强度。 然后利用 IT投资与总资产的比值衡量公司的数字资产投入强度。 其中,IT投资包括 IT硬件投资和 IT软件投资。 本文从公司财务报表附注中先筛选合并公司报表和原值科目,再从固定资产和无形资产明细中筛选数字资产投资相关数据,IT硬件投资由固定资产明细中电子设备、电子计算机等项目的年末余额衡量,IT软件投资由无形资产明细中有关软件、系统、信息等项目的年末余额衡量.以技术人员投入强度和数字资 产投入强度的一阶导数的峰态衡量两者的节奏,即技术人员投入节奏和数字资产投入节奏。 峰态计算公式如下:

数据来源
时间跨度
数据范围
数据格式
数据指标
Stkcd | ShortName |
IndustryCode | IndustryName |
数字资产投入节奏 | 技术人员投入节奏 |
FullName |


向下滑动查看

数据引用格式
请您在任何基于“数据皮皮侠”数据库所产生的中文研究成果(含学术论文、公开发表的研究报告等)均包括以下表述或类似表述声明:
本研究使用的数据来自CNPD数据库。
例如:文中使用的农业研究相关数据来自CNPD农业研究数据库。
其中,“农业研究相关数据”替换成实际使用的数据名称。

请您在任何基于“数据皮皮侠”数据库所产生的英文研究成果(含学术论文、公开发表的研究报告等)均包括以下表述或类似表述声明:
The data used in this study came from CNPD database.
The agricultural research data used in this paper are from CNPD agricultural research database.
Where "agricultural research related data" is replaced with the actual data name used.
声明:本数据由数据皮皮侠团队整理,仅用于学术研究
资源获取方式
数据编号 1932

高级会员或永久会员 可在官网搜索对应编号免费下载
官方网站:www.ppmandata.cn
非高级会员或永久会员 可进入官网
搜索对应编号后在网页右上角通过数据元购买
以1533为示例:

