CNDD-0087 2008-2022年上市公司绿色环保投资数据及学术论文应用
01 数据介绍
CNDeepData 数据应用质量评级
▪常用度:★★★★☆
▪ 稀缺度:★★★★☆
▪ 新颖度:★★★★☆
▪ 总体级别:12颗星
✔ 常用度:是数据市场中需求指标,是指该数据在经济管理类学术论文中使用频率。
✔ 稀缺度:是数据市场中供给指标,是指该数据在其他数据库的出现频率。
✔ 新颖度:是数据市场中生成指标,是指该数据在生成时方法新颖程度和工作量。
02 主要指标

03 数据特征概览



▪ 绿色环保投资项目明细:


04 前沿文献速递

其中:Vit 为测算的股价波动性指标,Cit 代表企业绿色投资指标,Cit代表一系列控制变量。基于稳健的豪斯曼检验结果,采用控制行业效应和年份效应的固定效应模型估计,为保证结果稳健性,也采用了控制行业效应、企业效应、年份效应的固定效应模型估计。
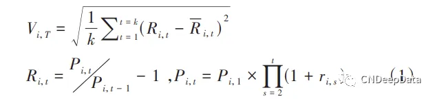
1. 被解释变量:股价波动性
已有关于企业层面股价波动性的研究中,股票收益率的方差或标准差是比较公认的一种度量股价波动性的指标 。因此,借鉴此种方法衡量企业年度的股价波动性(记为V),具体计算过程如下:

回归结果如表 2 列(1)和列(2)所示,绿色投资(G) 系数在5%以下的水平上负向显著,即绿色投资有助于降低股价波动性。列(4)和列(6)报告了在控制潜在内生性问题后的回归结果,可知绿色投资对股价波动性的降低效应依然显著,同时列(3)和列(5)的回归结果 F 值均大 于 10,可认为工具变量不存在弱工具变量问题。上述结果表明假设H1成立,企业绿色投资有助于降低投资者对公司发展不确定性的疑虑,弱化噪声交易对股价波动性的影响,同时向外界传递积极环境保护的信号,积累“道德声誉”,提升投资者的信任感,从而在企业突发环境污 染等负面事件时缓解投资者恐慌情绪,发挥出稳定股价的“保险效应”。

05 其他相关文献
[1]张琦,邹梦琪.环境治理垂直改革的效果、基层机制与影响因素[J].经济研究,2022,57(08):172-190.
[2]廖显春,李小慧,施训鹏.绿色投资对绿色福利的影响机制研究[J].中国人口·资源与环境,2020,30(02):148-157.
[3]陈羽桃,冯建.企业绿色投资提升了企业环境绩效吗——基于效率视角的经验证据[J].会计研究,2020(01):179-192.
06 获取方式
以下三种方式三选一即可:
▪ 直接购买
添加客服微信,支付价格为69元。
▪ 朋友圈分享后免费领取(每人限领5份)
持续3小时,集齐5个赞,需要对所有人可见,并且本人关注CNDeepData公众号。
▪ 购买大会员
添加客服微信,购买年度基础会员149元,年度高级会员299元,永久高级会员899元,可享CNDeepData所有数据免费获取。
▪ 朋友圈分享要求:
①分享时间需要在早上7:30到晚上12:30之间。
②请附带一句推荐词,例如“推荐CNDD高质量数据库”。
③请将包含时间内容的截图发给客服。
▪ 添加客服微信方式(客服工作时间为每天9:00—22:00):
扫描下方二维码,或搜索下方微信号。
添加客服微信号:
DeepData001
获取更多更新数据


往期已推送数据
版权声明 …
1. 除中国深度数据库(CNDD)特殊声明外,CNDD对基于合法来源的数据的选择、整理和编排具有独创性。任何自然人、法人、其他组织未经CNDD授权,不得以任何目的截取、上传、下载、复制、修改、使用、编译等或者以任何方式任何媒介传播上述作品的任何部分,否则视为侵权。
2. 对于存在侵害CNDD上述权利违法行为的主体,CNDD保留依法追究其法律责任的权利。
数据授权使用说明 …
任何使用CNDD数据等产品的单位和个人,承诺只将CNDD的数据等用于学术研究,并在所得研究成果(包括但不限于学术论文、咨询报告等)中注明数据来源于CNDD。数据来源的注明方式请参考:“本研究数据来源于中国深度数据库CNDD”;英文参考:“We get the data from CNDeepData (CNDD)”。

中国深度数据库:让精品数据 得以流动
CNDeepData:Let high-quality data flow without barriers
