


近日,自治区教育厅发布通知
确定了我区
普通高中学业水平选择性考试
思想政治等4门考试科目成绩
按等级转换分数
计入普通高校招生录取总成绩

那么这些科目是如何计入高考总成绩的呢?
跟着小轩一起来看看吧
↓↓↓

根据新高考规定,2024年起我区普通高校招生统一考试科目包括3门全国统考科目和3门选择性考试科目,选择性考试科目由考生从物理和历史2门科目(以下统称首选科目)中任选1门,从思想政治、地理、化学、生物学4门科目(以下统称再选科目)中任选2门;选择性考试科目每门满分值为100分,首选科目以原始成绩计入考生总成绩,再选科目以等级转换分数计入考生总成绩

《广西高考综合改革方案》确定,2024年起我区普通高校招生按照物理、历史两个类别,分列招生计划、分开划线、分开投档录取,即分别对选择物理和历史的考生进行排队。选择相同科目类(物理或历史)的考生使用相同试卷,考试群体相同,成绩具有可比性,可以使用原始成绩计入考生总成绩。

首选科目相同的考生,可以在4门再选科目中,根据普通高校招生选考科目要求和个人兴趣特长,选择不同的2门科目计入总成绩。由于再选科目中不同学科之间存在试题命制的内容、形式、难度、考查角度等差异和报考相应学科的考生群体不同,不同科目之间原始分数不等值、不具有可比性。比如:

虽然甲、乙两名考生不同科目的原始分数相同,但排名位次不同,若简单将他们各总成绩并进行比较,既不科学也不公平。因此,再选科目成绩用于普通高校招生录取时,必须解决考生分数具备可比性的问题,采用等级转换分数计入考生总成绩。

等级转换分数适用于我区选择性考试的思想政治、地理、化学和生物学4门科目。普通高中学生根据普通高校招生专业选考科目要求指引、自身兴趣特长等因素,从选择性考试的思想政治、地理、化学和生物学4门科目中任选2门参加考试,其考试成绩按等级转换分数计入考生普通高校招生录取总成绩。

先按原始分数划定等级,再进行等级赋分。按照每门科目考生的原始分数从高到低划定为A、B、C、D、E五个等级,各等级人数所占比例分别为15%、35%、35%、13%和2%,将考生的原始分数转换成等级。转换基数为实际参加该科目考试并取得有效成绩的人数。成绩转换时以30分作为赋分起点,满分为100分。将A至E五个等级内的考生原始分数,依照等比例转换方法,分别对应转换到100~86、85~71、70~56、55~41和40~30五个分数区间,得到考生的等级转换分数。等级转换分数计算结果按“四舍五入”进行处理,以整数呈现。等级转换分数一分一档,与原始分数排序保持不变。

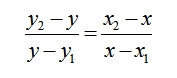
、
分别表示某等级原始分数区间的下限和上限;
、
分别表示相应等级的转换分数区间的下限和上限;
表示考生的原始分数;
表示转换后考生的等级转换分数。考生原始分数正好为原始分数区间上限或下限时,不需要按转换公式计算,相应的转换分数区间的上限或下限分数即为该考生的等级转换分数。即:当
=
时,则
=
。
需要提醒考生注意的是,等级转换分数由自治区招生考试院组织专家,依据上述转换规则进行转换。原始分数、转换过程等过程性信息,根据相关规定不予公布。考生在查询成绩时,即可得到转换后的分数,无需自行转换。

一是通过将不同再选科目原始分数按照统一规则转换到同一量尺上,较好地解决了不同再选科目成绩之间可比性问题。
二是通过依照等比例转换方法将等级转换成等级分数,较好地解决了不同再选科目成绩之间可加性问题。
三是能够保持每门再选科目内考生成绩排名顺序与原始分数排名顺序不变,能够最大限度保证考生成绩具有良好的区分度,满足高校人才选拔和投档录取需要,确保普通高校招生录取公平公正。

考生甲,思想政治科目原始分数为 81分。第一步,按原始分数划定等级。假设考生甲在当年高考所有选思想政治的考生中排在约 25%,该生成绩被划定为B 等级。根据所有考生原始分数的分布,当年该科目B 等级原始分数区间为82~61分。第二步,进行等级赋分。将考生甲的原始分数,依照等比例转换方法,转换到B等级的赋分区间85~71 分,根据转换公式,该考生思想政治科目的转换分数为: x84,即该考生思想政治科目等级转换分数为 84 分,最后以此成绩计入该考生的高考总成绩。如下:


(一)实施时间。本通知自2021年秋季入学的普通高中一年级学生开始实施,2024年首次组织实施选择性考试。
(二)工作要求。选择性考试思想政治等4门考试科目成绩实行等级转换分数方式,有利于解决不同选择性考试科目之间的可比性及总分的可加性问题,确保普通高校招生录取的科学性与公平性。各地、各级教育行政部门和各普通高中学校要进一步提高认识,统一思想,高度重视,正面宣传,为我区高考综合改革营造和谐的社会氛围。

为做好政策解答工作,自治区招生考试院设立了咨询电话,考生和家长可自该政策发布之日起至10月31日(上午8:00—12:00,下午15:00—18:00)期间,拨打电话咨询。咨询电话:0771-5313912、0771-5344062。
广西普通高中
学业水平选择性考试成绩
计入普通高校招生录取总成绩方式



【投稿须知】公众号《许兴华数学》诚邀全国各地中小学数学教师、教研员和数学爱好者热情投稿!来稿时请注意以下五点:
(1)来稿请注明真实姓名、工作单位、联系方式(无具体工作单位和真实姓名的投稿,一般都不会采用)。
(2)来稿一般要求同时用word文档和PDF格式的电子稿件(防止不同版本的Word打开时出现乱码)。另外,也接受少数著名教师的手写稿(手写稿必须清晰可读)。
(3)每篇文章请认真审查复核,防止错误发生,来稿文责自负。如有抄袭,则有可能被举报并受到有关著作版权部门的追责。
(4)投稿邮箱:chinamatha@163.com;或加主编微信xuxinghua168投稿(加时请注明:投稿).(5)本公众号对优秀作者和名师一般会附上“作者简介”,以让广大读者更好地了解作者的研究成果和方向,以便进一步学习作者的相关数学思想或解题方法。

【相关参考文章】
许兴华:从《2020年清华大学强基计划数学试题》的部分题型谈数学学习的体会
黎福庆——把握课标要求.理解教材内涵.落实核心素养(新课标学习与探索)
【教育博览】“一半学生上不了普通高中!”教育部门又发通知,家长炸锅了!
【解题研究】平面向量"最值问题"常见的八大题型——每一种方法都要掌握
【重磅】教育部推出国家中小学网络云平台,所有科目的名师课程视频全部免费在线学习
高考数学压轴题05:用导数研究函数的单调性、极值与最值问题(高考研究.共9讲)
【最新参考】2021年高中数学最新教材-新高考人教A版详细目录和详细内容
【最新参考】2021年高中数学最新教材-新高考人教A版详细目录和详细内容
2021年7月清华大学(新高考版)中学生学术能力测试数学试题与解析
北大数学天才韦东奕:不看电视不用微信,爱听收音机!去年还穿着高中校服!初中作文曾把老师看晕
【教育博览】2021新高一:中西部七省高考秋季或将开启3+1+2模式!新高考模式最全解读!
许兴华——从《2020年清华大学强基计划数学试题》的部分题型谈数学学习的体会
【教育博览】尖子生的秘密:连晚上学习都是有套路的!很实用,转给孩子吧!
【高考志愿】超好高考志愿填报攻略!别让孩子的分数毁在报志愿上,转给高考生
【太重要了】高考志愿这么填,等于多考20分,特级教师为你支招!
北大数学天才韦东奕:不看电视不用微信,爱听收音机!去年还穿着高中校服!初中作文曾把老师看晕
【高考研究】2021年高考数学很有可能要考的80道题! 认真看了才知道命题有这些规律...
公众号《许兴华数学》近年(2018~2021年)“高考研究”与“数学解题”优秀文章136篇选读
【高考专栏(九科全)阅读链接】
【高考专栏1】高考数学用60秒快速做选择题的“无耻”得分法,只能帮到这里啦!
【高考专栏3】高考物理重难知识点题型~解题技巧全汇总,超实用!
【高考专栏4】高中化学高分策略:各题型答题套路+必备解题技巧汇总
【高考专栏5】高考英语近五年完形填空最全解题技巧,看完再涨30分!
【高考专栏7】高考历史高分答题技巧和攻略!名校学霸的总结哦!值得阅读!
【高考专栏8】高考地理技巧:26个常见专题详细答题模板!要不要认真看看?
【珍贵收藏】2020年全国各地高考数学真题汇编.含详解161页
【教育博览】衡水教师指导:月考试卷这样分析,成绩才会一次比一次高!
【惊雷!】超4成是博士!深圳中学新入职“豪华”教师阵容,网友看后震惊了!
庞景生—— 一道条件二元最值题的变式探源及10种解法(一题多解)
许兴华——2021新年数学趣题新编:同学们,瞧瞧你能做出几题?
2021央视春晚中的高考考点,各学科名师熬夜整理!务必收藏!
湖北省钢城四中2019年高一上学期期中考试数学试卷 Word版含答案


