

位置:兰陵县山东虹郡食品集团有限公司




2023年1月16日10时至2023年1月17日10时止(延时除外)在山东省兰陵里巴巴司法拍卖网络平台上进行公开拍卖活动。
现公告如下:
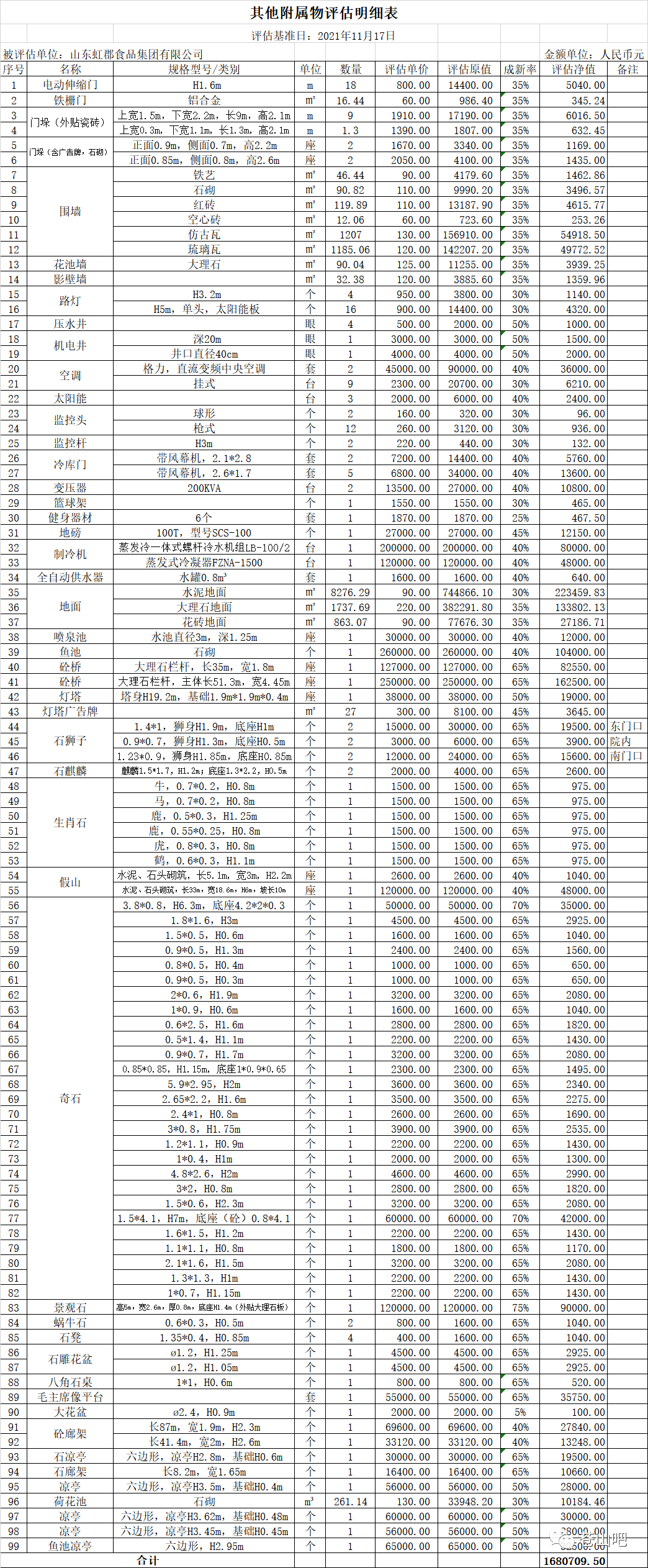
一、拍卖标的:山东虹郡食品集团有限公司拥有的房屋建筑物及其他地上附属物等。
注意:1.本次拍卖不含土地价值,苍国用(2010)第046号土地使用权面积为22485.3平方米,终止日期为2019年12月31日,因使用期限已到期,买受人须自行办理土地使用权相关手续,并承担由此产生的所有费用。
2.因标的物占用一部分土地为村集体土地(无证),后续使用及拆建须自行沟通了解,风险自负。








有新鲜事欢迎找小编爆料。原创类文章转载请先申请授权! 转载图片/视频请保留水印。侵权图文请后台联系删除(注:本平台仅致力分享网络信息,文中观点看法仅代表其个人观点,请各位网友独立思考不盲从。)如果您想免费发布求职招聘、房屋买卖、二手交易等各种便民广告信息,请点击左下方的阅读原文自助发布。
请注意甄别高仿山寨号,其所发信息与本平台无任何关系。
快手/抖音/微信视频号搜索:
苍山吧
