
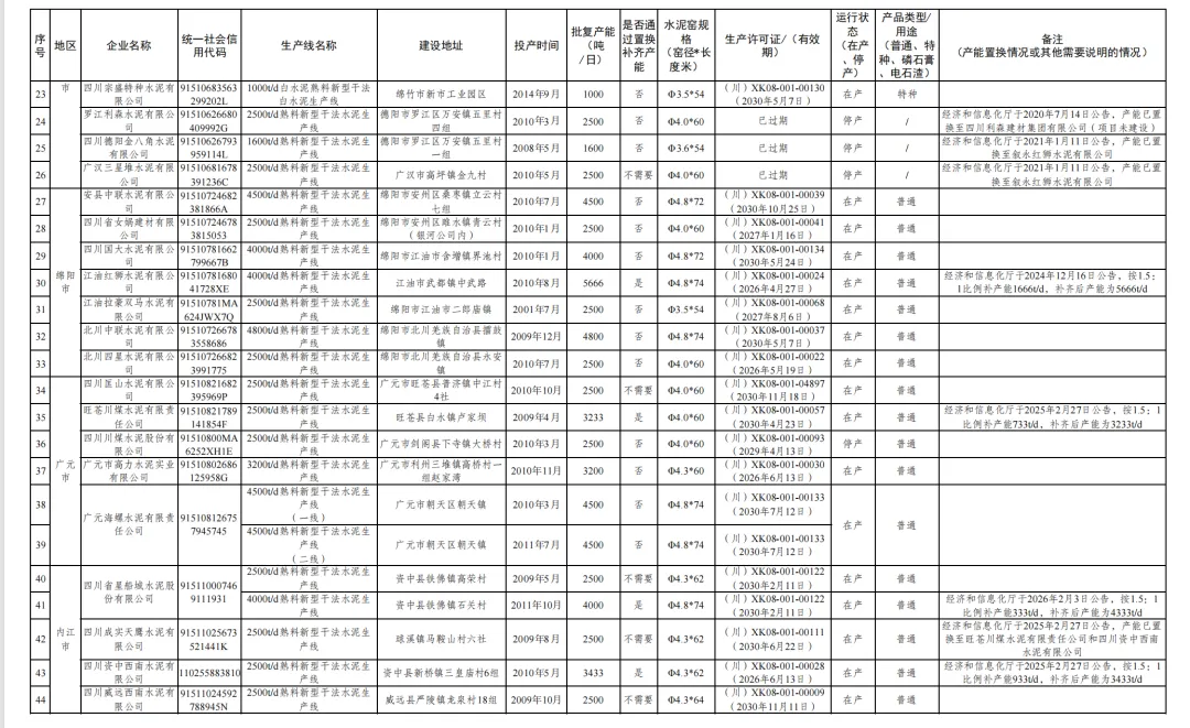
2026年3月24日,四川省经济和信息化厅发布公示,公布截至2025年12月31日的全省水泥熟料生产线清单。
清单显示,全省共有水泥熟料生产线110条,其中,在产生产线98条,停产生产线12条。产品类型以普通硅酸盐水泥为主,部分生产线涉及特种水泥及电石渣综合利用。与往年相比有所不同的是,今年公布的清单批复产能一栏变更为完成补齐手续后的可生产产能。





← 左右滑查看水泥熟料生产线明细表 →


往期推荐
重磅会议丨关于举办“2026第三届替代燃料生产与应用技术交流大会”的通知
《替代燃料大全》+地图免费送!第三届替代燃料会议早鸟报名开启
重磅消息丨安徽轩亚机械应邀参加2026第三届替代燃料大会
中山斯瑞德应邀参加2026第三届替代燃料生产与应用技术交流大会
又有3条大窑退出!5000吨水泥窑退出名单拉长,全国已达43条
华新水泥或将再拓巴西市场,30亿美元竞购CSN水泥
金隅集团高层人事变动,副总到龄退休
海螺水泥年终奖曝光!发放早、标准高,不愧是行业标杆!
2025水泥人年终奖调研报告:抽样数据和多家企业爆料汇总
重磅消息!三项替代燃料相关标准获准,9月实施
二手撕碎机丨广西1600+1400型二破撕碎机系统转让
西部水泥拟出售国内资产,点名海螺水泥为潜在买家
海螺水泥华东区域替代燃料需求信息
湖北协会:湖北53条熟料线平均产能利用率不到55%
起拍2562.78万!新乡两家李固系水泥公司破产,设备拍卖
山水水泥初步公告:2025年亏损近10亿!
惊呆!海螺水泥搞起了“化妆品”生意
不干了,底价1.4亿卖掉!这家央企水泥厂2条水泥窑和多台水泥磨转让
台泥华南营销中心乔迁入广州珠江新城,与“小蛮腰” 广州塔隔江相望
污泥用作替代燃料丨卡塔尔水泥厂签署重磅替代燃料回收协议
