


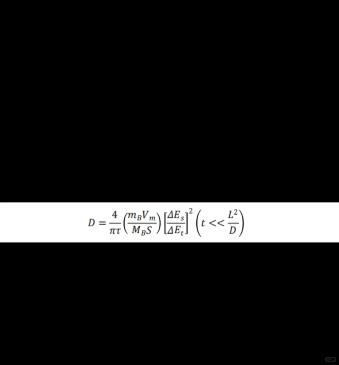
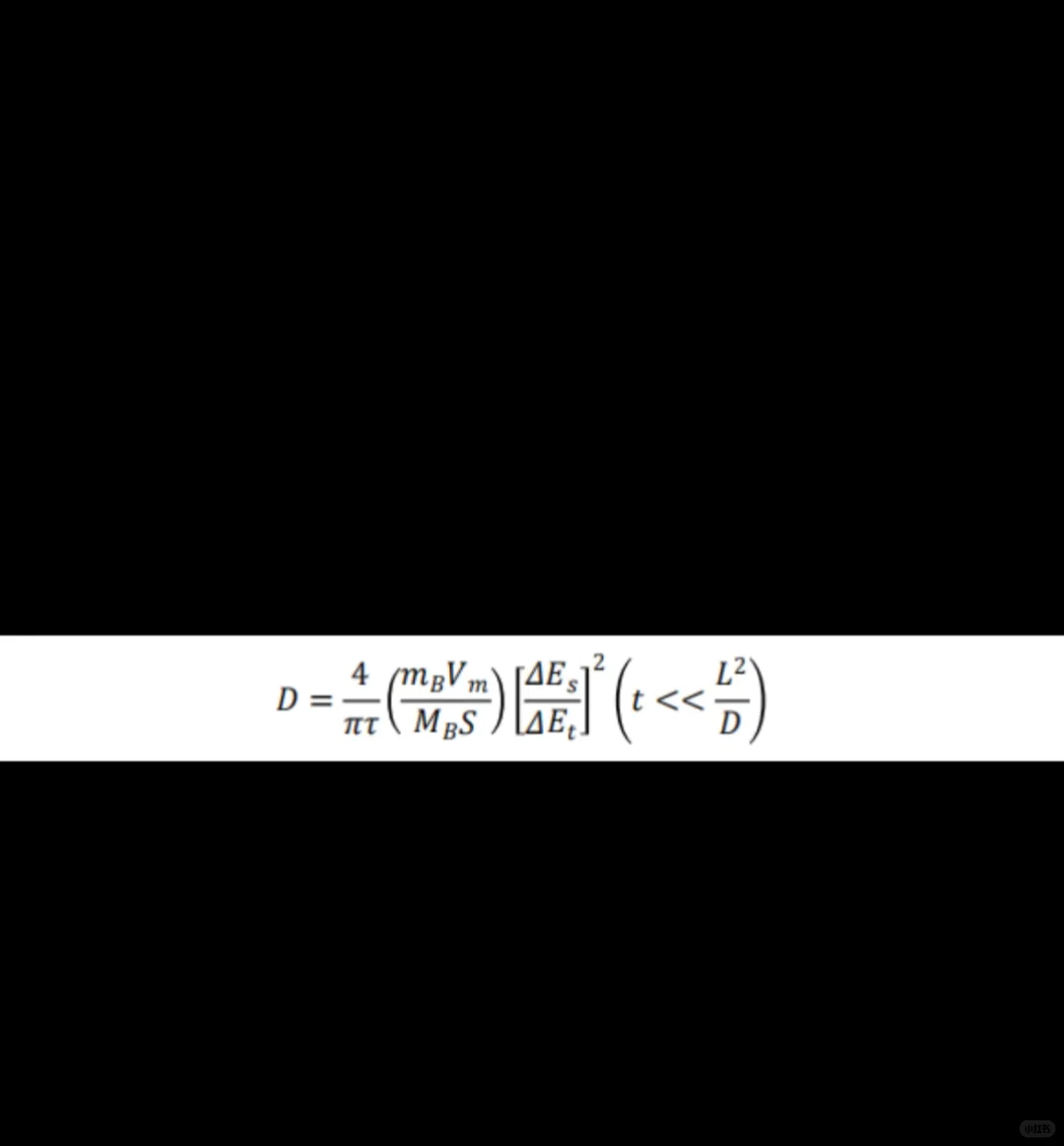
锂离子电池是一种摇椅式二次电池,它主要依靠锂离子在正极和负极之间的移动来工作(图1)。在充电过程中,锂离子从正极中脱出,经过电解液嵌入负极。此时,电子通过外电路从正极流向负极,形成电流。放电过程中则相反,锂离子从负极中脱出,经过电解液返回正极,同时电子通过外电路从负极流向正极,产生电流对外供电。因此锂离子的扩散速度和效率直接关系到电池的充/放电倍率、循环寿命和高低温性能等。GITT整体测试过程是由一系列“脉冲-恒电流-弛豫”过程组合而成的(图2 )。一组“脉冲-恒电流-弛豫”过程是在一定时间内施加恒定的电流对电池进行充电/放电,而后断开电流同时记录整个过程的电压变化情况,其测试的关键是电流的恒定以及电压的精准。在断开电流后的弛豫阶段,需要让锂离子在活性物质内部进行充分扩散,通过电压与时间的关系进一步计算扩散系数。为了满足GITT方法“扩散过程主要发生在固相材料的表层”的假设,需要对测试条件进行一定的限定:(1)恒电流脉冲的时间t要比较短,并满足t<<L2/D,其中L为材料的特征长度,D为材料的扩散系数。(2)弛豫时间要足够长,以让Li+在活性物质内部充分扩散并达到平衡状态,可通过电压保持稳定进行判定。通过GITT测试数据可以进一步计算相应的扩散系数,具体公式如下:P3。其中D为锂离子扩散系数,mB为活性物质的质量,Vm为电极材料的摩尔体积,MB是材料的相对分子质量,S为电极与电解液接触的有效表面积,τ为弛豫时间,ΔEt为充/放电过程电池电压的变化,ΔEs弛豫阶段的电压变化,t为脉冲时间,L为电极的厚度。将对应材料的物性参数以及每组“脉冲-弛豫” 单元内的∆Es和∆Et代入公式即可得到锂离子的扩散系数。一般测试时,得到的电压变化数值不仅仅包含表面扩散的数值,还包含体现SOC变化导致的电压变化。理论上通过降低脉冲时间的方法可以提高GITT的测试精度,但是随着脉冲时间的变小,∆Es的变化会变得很小,这就需要高测量精度的设备,从而降低噪声。锂离子在活性物质内的扩散行为反映了电池的微观动力学性能,也极大影响着电池的综合表现。对不同充放电深度的电化学反应进行分段研究,可以有效找到各阶段影响电池极化的关键因素。GITT可以有效测定锂离子的扩散系数D,进而对电池的动力学过程进行研究。
