发布信息
登陆/注册
搜索
搜索
导航
首页
产品供应
产品求购
企业库
酒业展会
行业资讯
认证会员
站内搜索
行业企业
当前位置:
首页
行业企业
正文
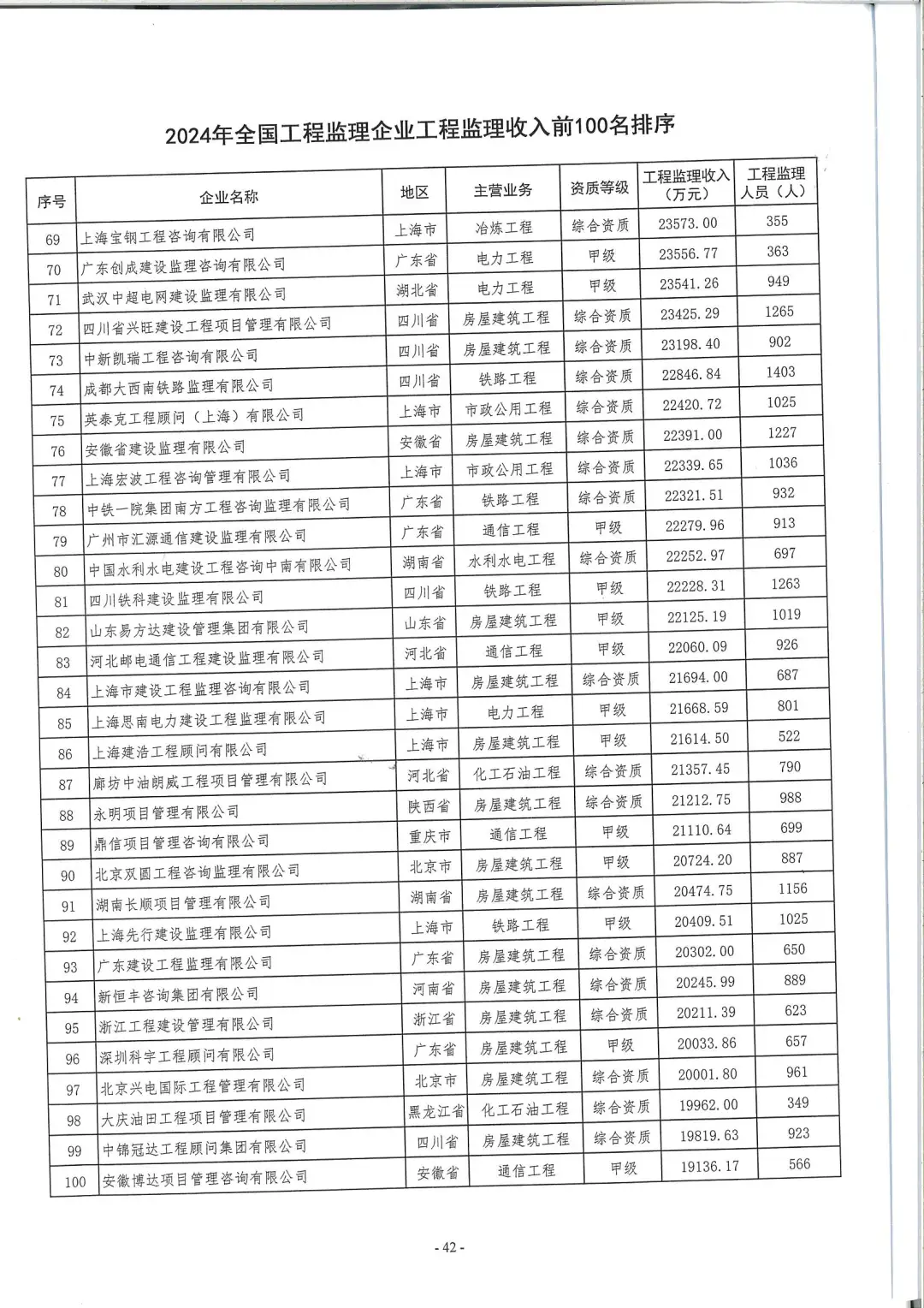
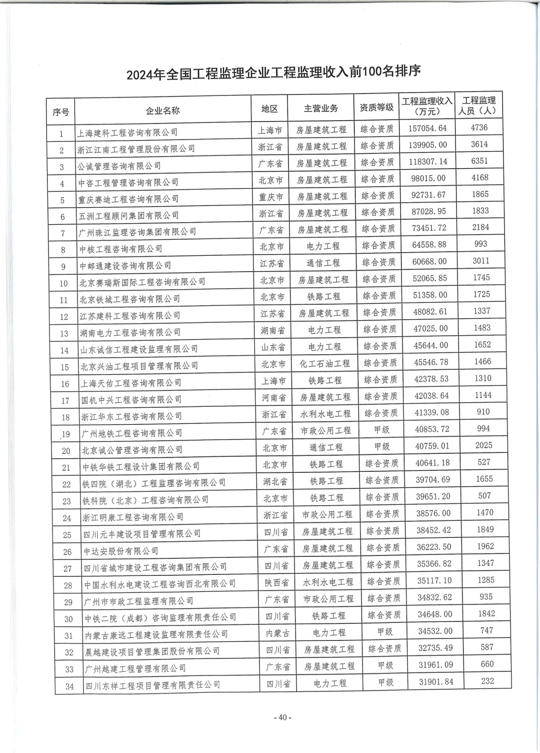
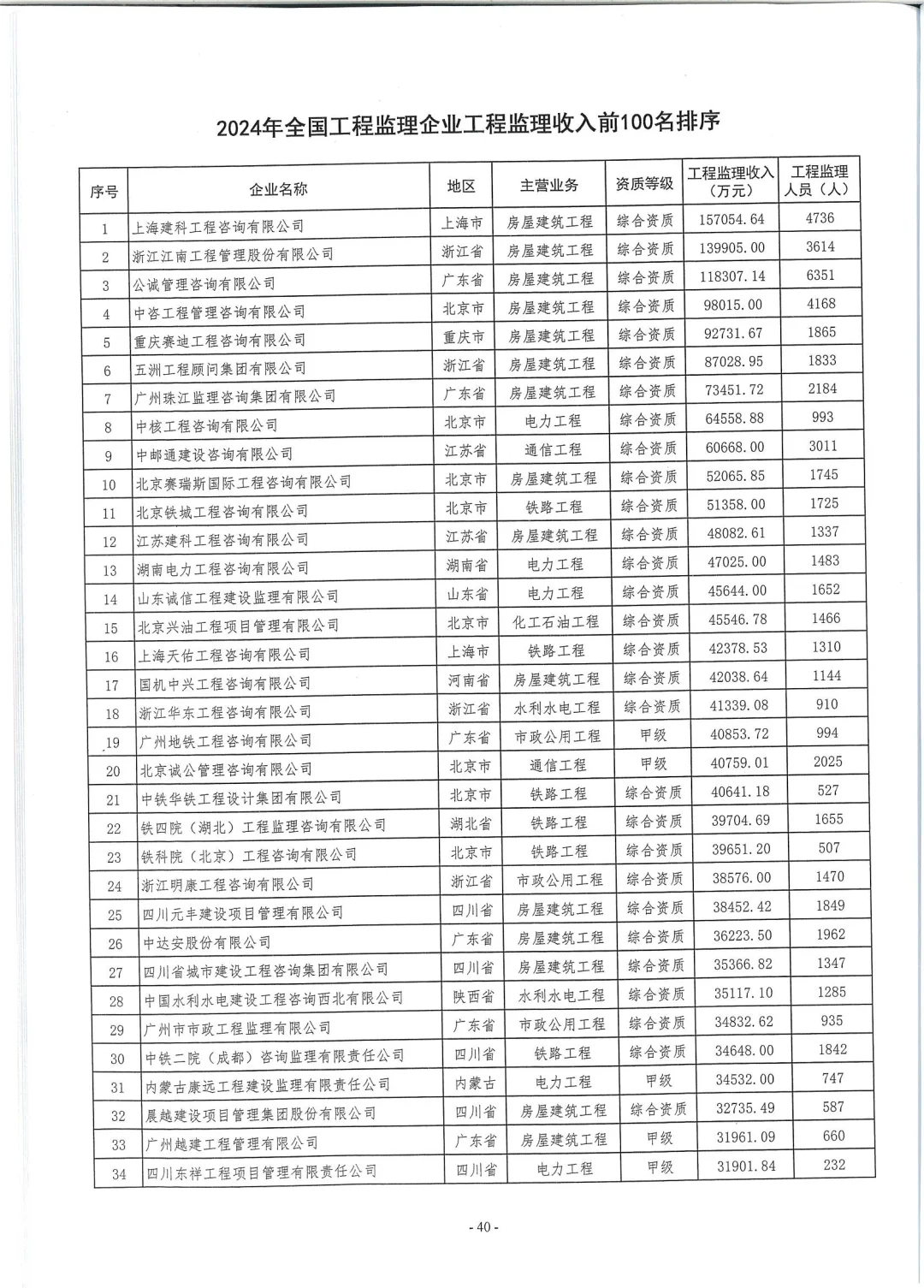
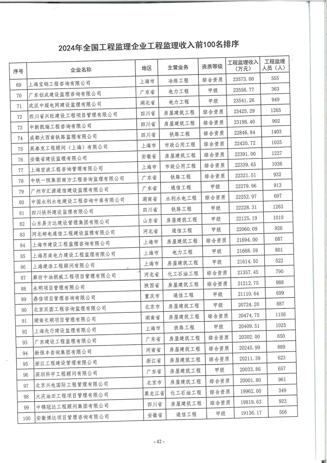
全国监理收入前100名排序!!!
作者:本站编辑
2025-10-27 04:56:13
19
全国监理收入前100名排序!!!
住房城乡建设部建筑市场监管司,2025年7月发布。
关注我,获取更多行业信息。
#监理
#土木工程
#建筑行业
#工程人
#工程人转行
下一篇:
PCB业绩大爆发,最强主线强势崛起
上一篇:
速度收藏!未来最火的科技ipo概念
相关内容
查看全部
名校直通车,让“
2026-05-26 20:25
肇法护企|从产业
2026-05-26 20:23
MEIRYA 茉莉花茶
2026-05-26 20:23
涂布生产线降本增
2026-05-26 20:19
大武口区(高新区)
2026-05-26 20:01
关于开展西安市建
2026-05-26 19:58
铝箔生产线上的“
2026-05-26 19:33
汽车发动机缸体高
2026-05-26 19:30
金纬1600熔喷机生
2026-05-26 19:28
行业动态 | 纺织
2026-05-26 19:14