
《Journal of Functional Foods》(IF:5.6,Q2)旨在汇集健康食品和生物活性食品成分的基础研究和应用研究成果。该刊涵盖植物生活领域;膳食纤维、益生菌;功能性脂质;生物活性肽;维生素、矿物质和植物药和其他膳食补充剂。研究与功能性食品和饮料开发相关的营养和技术是该刊的核心。
导读
已有人提出,多酚通过减少食物摄入、减少脂肪生成和增加脂肪分解、抑制脂肪细胞分化和增殖、减弱促炎反应和氧化应激等机制预防肥胖。脂肪组织中与多酚作用相关的信号通路包括AMPK、MAPK、NF-κB、PPARα/γ和TLR2/4 。一些多酚如白藜芦醇或表没食子儿茶素没食子酸酯(EGCG)降低PPARγ的表达,抑制脂肪细胞的分化和增殖。花青素通过激活AMPK减少脂肪细胞中的脂肪积累,AMPK将脂肪细胞转化为脂质氧化细胞,并有助于调节脂肪分解和脂肪生成。
肠道菌群的变化是肥胖障碍发展的另一个因素。肠道微生物群参与代谢功能的调节、低度炎症的发生和能量平衡的调节。微生物群组成可以改变饮食中未消化多糖的消化率和吸收,通过抑制腺苷单磷酸激酶(AMPK)来减少肝脏脂肪酸氧化,并有助于肥胖患者的全身炎症。饮食中的多酚可以改变肠道菌群群落,导致有益细菌更丰富,从而提高生物利用度。此外,肠道微生物群与生物活性化合物(纤维、多酚)之间存在相互关系,可提高酚类化合物的生物利用度,并提供更多的健康益处。
本研究旨在评估红葡萄酒渣产品(WP)对肥胖相关疾病的潜在有益作用。采用高脂饲料喂养的Wistar大鼠作为肥胖模型,从第一周或第7周开始,两次将WP加入到饮食中,以确定WP是否能预防肥胖的发展或改善已建立的肥胖的障碍。
(点击下方阅读原文,直达文献页面)
结论
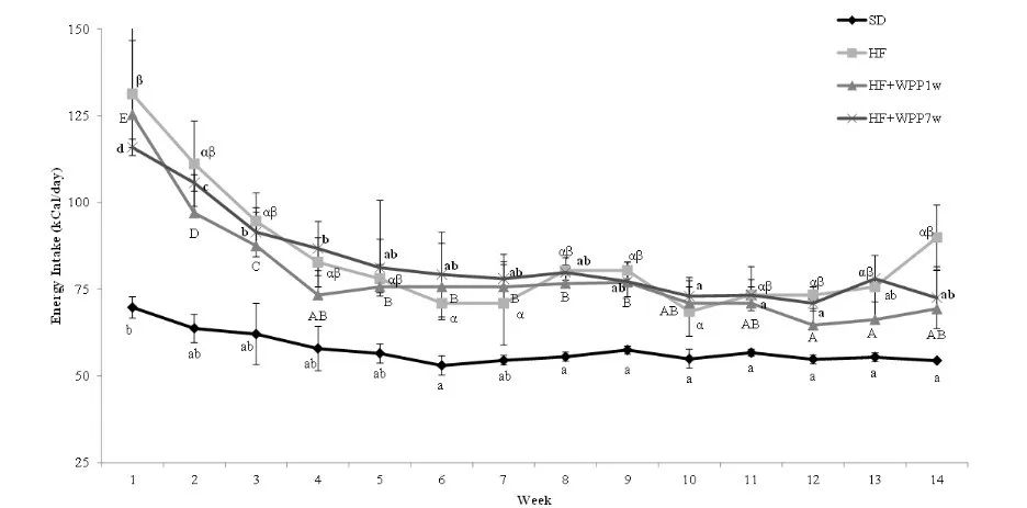
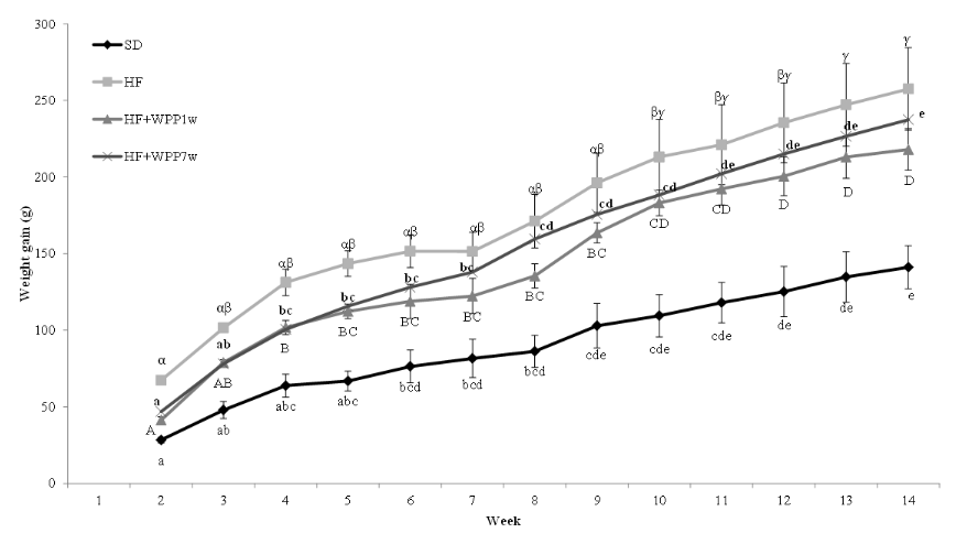
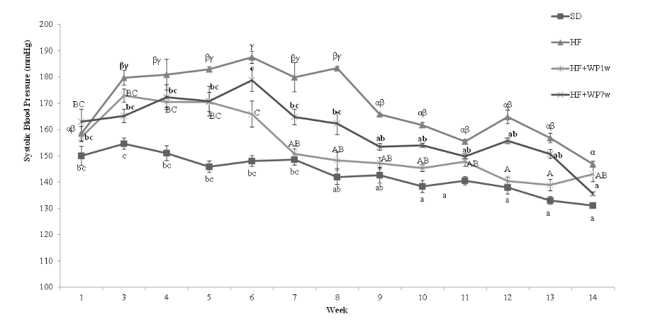
1.不同喂养小鼠各指标分析




2.腹部脂肪,总脂肪,脂肪细胞面积和内脏脂肪

如图(A和B)所示,与标准日粮相比,HF日粮增加了腹膜后脂肪面积约2.3倍。然而,在HF-WP1w和HF-WP7w组中,摄入WP显著减少了脂肪面积。此外,HF饮食增加了肠系膜脂肪细胞的面积(图C和D), HF- wp组的脂肪细胞面积与SD组相似。这些结果与SD、HF- wp1w和HF- wp7w组(212 mg/mm、388 mg/mm和385 mg/mm)的肠系膜组织总质量低于HF组(462 mg/mm)的结果一致。此外,HF大鼠的总内脏脂肪(肠系膜、性腺、胸廓和肾周)的重量更高,WP摄入减少了大鼠的内脏脂肪。
HF饮食的消耗显示心脏周围的脂肪组织(图F)。与SD组相比,HF组在该器官中观察到的脂肪重量是SD组的19倍(图E和F)。在HF- wp1w和HF- wp7w组中,食用WP和HF- wp1w分别使脂肪心脏减少了53%和55%。然而,在心脏重量方面没有观察到差异,另一方面,SD组和HF-WP1w组的胸部脂肪显著降低。
3.血浆促炎物质

4.氧化应激的生物标志物



可知血浆和肝脏氧化应激的生物标志物,在血浆中,评估了三种氧化应激的生物标志物:羰基(CG)作为蛋白质损伤的生物标志物,丙二醛(MDA)作为脂质过氧化反应的生物标志物和8羟基脱氧鸟苷(8OHdG)水平作为DNA损伤的指标。两组(HF- wp1w和HF- wp7w)血浆GC、MDA和8OHdG水平均降低,HF组的三项指标均升高。在肝脏中,HF大鼠的CG和MDA水平均较高。摄入石蜡可使肝脏中CG和MDA水平降低,与SD组相似。
结果
综上所述,酒渣产品对肥胖、肥胖引起的炎症和代谢综合征的积极作用体现在显著降低体重、腹部脂肪面积、降低血糖、减少肝脏重量和脂质沉积、降低脂肪细胞大小。这些抗肥胖作用与机体氧化应激的减少和健康/有害微生物群组成的改善有关。酒渣产品富含多酚类物质和纤维,在饮食中引入可改变和减少肥胖并发症的多种危险因素。需要对人类肥胖患者进行进一步的研究,以评估其临床益处。
