点击蓝字 关注我们
文献导读
基于中国白酒发酵中合成微生物群落结构的定向控制风味化合物特征

发表日期:2023.9
发表题目:
《Directionally controlling flavor compound profile based on the structure of synthetic microbial community in Chinese liquor fermentation》
期刊:Food Microbiology
影响因子:9.231
摘要
大多数传统的发酵食品是通过自发发酵产生的。要生产出具有理想风味的传统发酵食品是很困难的。在这项研究中,我们以中国白酒发酵为例,旨在定向控制食品发酵中的风味化合物谱。在80个中国白酒发酵过程中发现了20种关键风味化合物。六种微生物菌株被鉴定为这些关键风味化合物的高生产者,被用来生成最小的合成微生物群落。建立了一个数学模型,将最小合成微生物群落的结构与这些关键风味化合物的概况联系起来。该模型可以生成合成微生物群落的最佳结构,以产生具有预期特征的风味化合物。这项工作提供了一种策略,通过控制中国白酒发酵中合成微生物群落的结构来实现对风味化合物特征的定向控制。
亮点
-在中国白酒发酵过程中发现了20种关键的风味化合物。
-构建了一个合成微生物群落来生产关键的风味化合物。
-合成微生物群落的结构对风味化合物的特征进行了调节。
-一个模型被用来连接合成微生物群落和风味化合物概况。
-该模型可用于控制白酒发酵中的风味化合物概况。
主要内容
1. 简介
几千年来,世界各地的人类都在食用发酵食品,它们是日常饮食的重要组成部分。发酵食品的风味化合物是决定消费者偏好的关键因素。它可以作为一个标准来定向控制发酵食品的质量。然而,风味化合物主要由复杂的微生物群落在自发的食品发酵中产生。控制食品发酵中的风味化合物仍然具有挑战性。合成微生物群落可以作为定义的启动培养物,已经开发了几个合成微生物群落来重现食品发酵中的风味化合物生产,包括可可豆、豆瓣酱、醋的发酵。因此,开发和控制合成微生物群落是定向控制食品质量的有效途径。
在发酵食品中,风味化合物包括各种酯、酸和醇。这些风味化合物形成不同的轮廓(包括风味化合物的组成和浓度),决定了发酵食品的质量。由于发酵食品中风味化合物的复杂性,很难同时控制所有的风味化合物。关键风味化合物可以被认为对发酵食品的质量很重要。例如,用24种关键风味化合物构建的风味化合物谱与桃红葡萄酒的香气有很高的质量相似性,用30种关键风味化合物构建的风味化合物谱与黑巧克力的香气有很好的相似性。这些研究意味着,食品的质量可以通过控制关键风味化合物的概况来控制。然而,最近的工作主要集中在单个风味化合物的控制上,而不是对综合风味化合物谱的控制。面临的挑战是,微生物群落结构对风味化合物谱的影响仍不清楚。因此,迫切需要阐明微生物群落结构与风味化合物概况之间的关系。
中国白酒是由典型的自发发酵产生的,涉及复杂的真菌(如酵母菌和非酵母菌)和细菌(如乳酸菌和芽孢杆菌)群体。在中国白酒发酵中,使用谷物,主要是高粱,作为原料。中国白酒的制作过程主要包含启动剂发酵和白酒发酵。起动剂通常由自发发酵产生,并含有复杂的微生物群。在这项工作中,我们以中国白酒发酵为例,旨在利用合成微生物群落来定向控制白酒发酵的风味化合物谱。我们确定了80个不同发酵样品中的关键风味化合物,分离出能有效产生关键风味化合物的菌株,并构建了一个具有最小数量菌株的合成微生物群落来产生所有的关键风味化合物。此外,我们建立了一个数学模型,将合成微生物群落的结构和关键风味化合物的特征联系起来。所建立的模型可用于通过控制最小合成微生物群落的结构来定向控制关键风味化合物的概况。这项研究提供了一种生产具有所需风味化合物特征的发酵食品的策略。这使得定向控制发酵食品的质量成为可能。
★
2. 材料与方法
2.1. 样品收集
2.2. 挥发性化合物浓度的测定和关键风味化合物的鉴定
2.3. 筛选 20 种关键风味化合物的高生产者
2.4. 合成微生物群落发酵的Box-Behnken设计
2.5. 数学模型的开发
2.6. 统计分析
★
3. 结果和讨论

图1. 中国白酒生产中风味化合物概况的定向控制示意图。在第一步,收集发酵样品,用HS-SPME-GC-MS测定挥发性化合物。在步骤二中,使用多种培养基和条件获得不同的分离菌株。挑选出6个具有高生产力的关键风味化合物的菌株来构建合成微生物群落。在第三步,揭示了关键风味化合物的浓度与合成微生物群落结构之间的关系。然后,构建了一个数学模型,将合成微生物群落的结构和关键风味化合物的概况联系起来,该模型可用于生成合成微生物群落的最佳结构,以产生所需的风味化合物概况。

图2. 中国白酒发酵中的20种关键风味化合物。(A) 在80个发酵样品中检测到的挥发性化合物类型的累积曲线。在每个图表中,中心线代表中位数,边界代表上、下四分位数,晶须代表最大值和最小值,交叉点代表异常值。(B) 167种挥发性化合物的分布。有35种挥发性化合物在至少70%的样品中被发现。(C) 20种关键风味化合物的结构式(在收集的发酵样品中分布频率≥70%,在中国白酒的至少一种香气类型中OAV≥1(表S2)。

图3. 使用高通量筛选法筛选出高产的风味化合物。(A) 高通量筛选的工作流程。在步骤1中,使用不同的培养基和培养条件进行微生物分离,使用自动筛选系统在10个96深孔板中挑选和培养960个分离物。十个96深孔板的培养物被混合到一个96深孔板中(十个96深孔板相同位置的孔中的培养物被混合)。在步骤2中,使用qPCR对每个混合样品中的目标基因拷贝数和生物量进行量化,并根据目标基因拷贝数和生物量的比率(Ct值和生物量的最小比率)挑选目标混合样品。Boxplot代表96个混合样品中Ct值和生物量的比率。ND代表所有混合样本的Ct值都超过40。基因和引物的详细信息在表S5中描述。在步骤3中,对目标混合样品中的不同分离物进行鉴定。在第4步中,确定了目标混合样品中不同分离物的风味化合物产量。(B) 生产所有20种关键风味化合物所需的高产者的最低数量。每种风味化合物的浓度从0到1被归一化,一种风味化合物的归一化数据大于0.7的分离物被确定为该风味化合物的高产者。(C) 6个菌株的系统发育树。系统发育树是通过使用ClustalW程序对26S rDNA基因进行比对并随后通过MEGA X软件程序进行邻接分析而构建的。

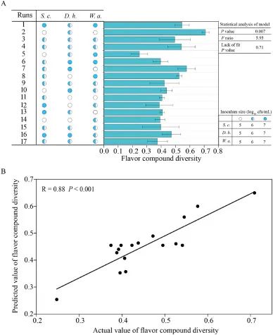
图4. 通过控制合成微生物群落的结构来控制风味化合物的多样性。(A) 17个合成微生物群落的风味化合物多样性。S. c. 代表S. cerevisiae,D. h. 代表D. hansenii,W. a. 代表W. anomalus。(B)17个合成微生物群落的风味化合物多样性的预测值和实际值。风味化合物多样性的计算方法如前所述。

图5. 方向性地控制风味化合物轮廓。(A) 使用数学模型的方向。所需的风味化合物谱作为输入,模型将生成合成微生物群落的最佳结构(输出a),使用合成微生物群落的最佳结构预测风味化合物谱(输出b),然后计算预测的和输入的所需风味化合物谱之间的相似度(输出c)。(B) 使用1000个随机生成的风味化合物谱作为输入,预测的和期望的关键风味化合物谱之间的相似度。红线代表平均相似度。(C) 预测的和期望的风味化合物概况的雷达图。使用了20种关键风味化合物的浓度(mg/L)的log10。A, B, C, 分别代表S. cerevisiae(log10 cfu/mL)、D. hansenii(log10 cfu/mL)和W. anomalus(log10 cfu/mL)的接种体大小。N1代表方程中的常数,N2-N10为系数,F1-F20代表20种关键风味化合物(表S6)。
★
4. 结论
本工作构建了一个包含3个物种的最小合成微生物群落,以产生关键的风味化合物。建立了一个数学模型,将中国白酒发酵中的合成微生物群落结构和风味化合物谱联系起来,并可以通过控制合成微生物群落的结构来定向控制风味化合物谱。这些成果对全世界发酵食品的定向生产和发酵食品工业的发展具有重要意义。
版权声明
1、本公众号推送文章仅用于学术交流,『原创』代表原创编译,不代表本平台对文本主张版权,如有侵权,请后台联系修改或删除。
2、凡是“转载”的稿件,均已注明来源,如需使用,请联系版权人。

微信号|发酵与健康
