


编者按:
文化是中国白酒所具备的重要属性之一,其中更蕴含了丰富的哲学思想,这使得中国白酒除了在物质层面带给饮用者以愉悦之外,更让饮用者在精神层面获得升华。
“大中有小,小中有大;新中有旧,旧中有新;死中有生,生中有死;宽中有窄,窄中有宽。”四川省委省政府决策咨询委员会副主任、成都市社科联主席、四川省酒类流通协会名誉会长、振兴川酒首席经济学家、发展战略顾问李后强在《宽窄论——人生启迪与智慧》中的不少观点对白酒行业有很强的借鉴意义。
《长江酒道》获得李后强会长授权后分期刊发其中的精彩论述。
宽窄变换最精彩和神奇之处,就是质量与能量的转化。
质量是窄,能量是宽。在爱因斯坦相对论中,物质的质量与能量是可以相互转化的,原子弹和加速器是这个原理的应用。
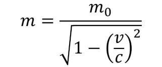
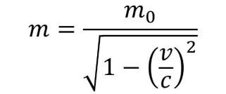
质能方程的推导需要用到狭义相对论中的质速关系(从洛伦兹变换中得到):

E表示物体在光速C(常数)时所具有的能量(宽),m表示物体的质量(窄),V是物体运动速度,m0是静止质量。
可见,速度v越大质量m越大,质量与能量转化方程:E=mc²。从质能方程中可以看出,质量和能量在本质上是等价的,说明宽窄可以转化。

质量在某些情况下会转变为能量,例如,核裂变、核聚变和湮灭反应。反过来,能量在某些情况下也会转变为质量,例如,布莱特-惠勒过程、宇宙创生过程。
编 辑 | 古利特
排 版 | 大 维
校 对 | 米 洛
美 编 | 陈施宇
监 制 | 萧 窕
本文由【长江酒道 ID:CJjiudao】原创,欢迎分享、转发至朋友圈;如需转载请后台申请(或添加微信:cjjd8866),未经授权,禁止转载、改编,否则依法追责。
... end ...




分享

收藏

点赞

在看

