
编者按:
文化是中国白酒所具备的重要属性之一,其中更蕴含了丰富的哲学思想,这使得中国白酒除了在物质层面带给饮用者以愉悦之外,更让饮用者在精神层面获得升华。
“大中有小,小中有大;新中有旧,旧中有新;死中有生,生中有死;宽中有窄,窄中有宽。”四川省委省政府决策咨询委员会副主任、成都市社科联主席、四川省酒类流通协会名誉会长、振兴川酒首席经济学家、发展战略顾问李后强在《宽窄论——人生启迪与智慧》中的不少观点对白酒行业有很强的借鉴意义。
《长江酒道》获得李后强会长授权后分期刊发其中的精彩论述。
宽窄变换是交响曲,有韵律节奏,是虚实的结合,应该在复数空间探讨新性质。可以定义,实为窄,虚为宽,二者结合就是复数。

我们把形如z=a+bi(a,b均为实数)的数称为复数,其中a称为实部,b称为虚部,i称为虚数单位,当z的虚部等于零时,常称z为实数;当z的虚部不等于零时,实部等于零时,常称z为纯虚数。
复数域是实数域的代数闭包,即任何复系数多项式在复数域中总有根。
复数的集合用C表示,实数的集合用R表示,显然,R是C的真子集。复数集是无序集,不能建立大小顺序,也没有宽窄之分。将复数的实部与虚部的平方和的正的平方根的值称为该复数的模,记作。

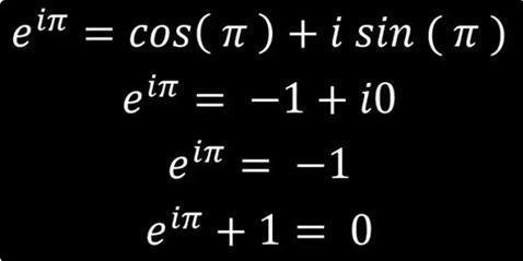
复数的模是宽窄的总量度。复数由意大利米兰学者卡当在十六世纪首次引入,经过达朗贝尔、棣莫弗、欧拉、高斯等人的工作,此概念逐渐为数学家所接受,在宽窄哲学中有广泛应用。世界上最美丽的数学公式就是著名的欧拉公式,它把圆周率(π=3.14159)与自然对数底(e=2.71828)联系了起来,说明虚实相通,宽窄相连。
- END -
