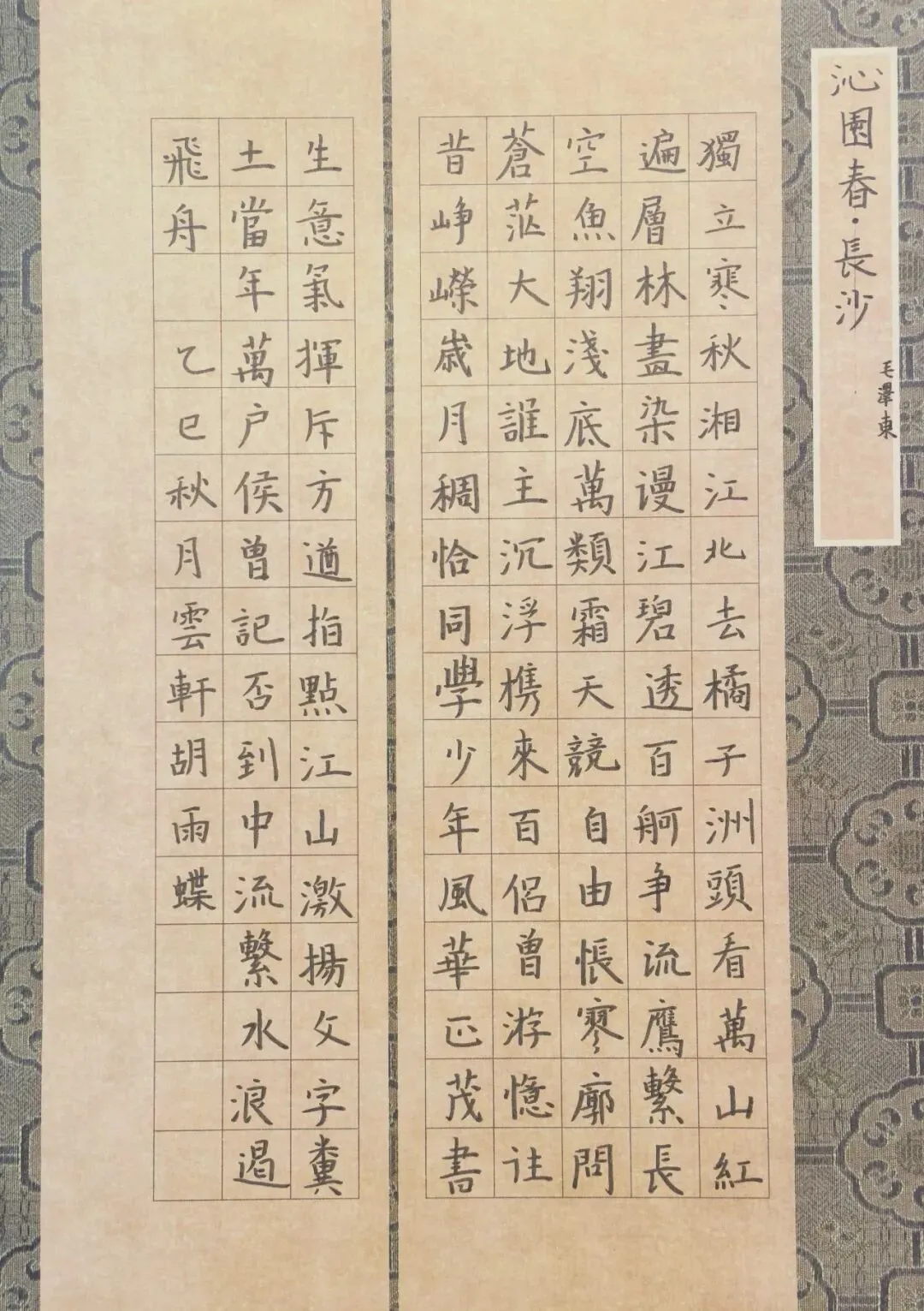
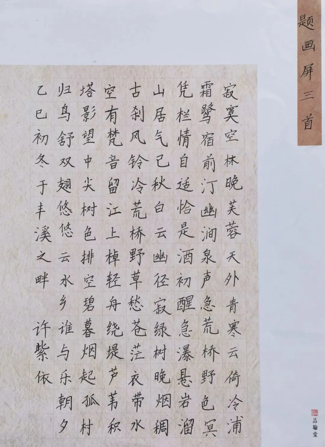
为弘扬中华优秀传统文化,传承汉字书法艺术,繁荣徽州文艺事业,由黄山学院艺术学院、黄山市硬笔书法家协会联合主办的首届“迎客松杯”黄山市硬笔书法大赛已圆满完成评审工作。本次大赛自征稿以来,得到全市各界硬笔书法爱好者踊跃参与,参赛作品内容丰富、格调高雅,既有对经典诗文的深情书写,也有饱含时代气息的原创篇章,佳作纷呈、风格多元,充分展现了黄山市硬笔书法群体的扎实功底与蓬勃朝气。
为让更多市民与书法同道共赏墨韵、交流心得,主办方特推出本次大赛获奖、入展、入选作品线上展览,以云端为媒,以笔墨会友,集中呈现入展佳作,以飨广大读者与书法爱好者。愿以此次展览为契机,进一步推动我市硬笔书法普及与发展,让墨香浸润黄山,让传统文化薪火相传。






























(排名不分先后)
编 辑:秘书处
一 审:张志刚、陈岗建、林平
二 审:汪至健
终 审:姚徽
