
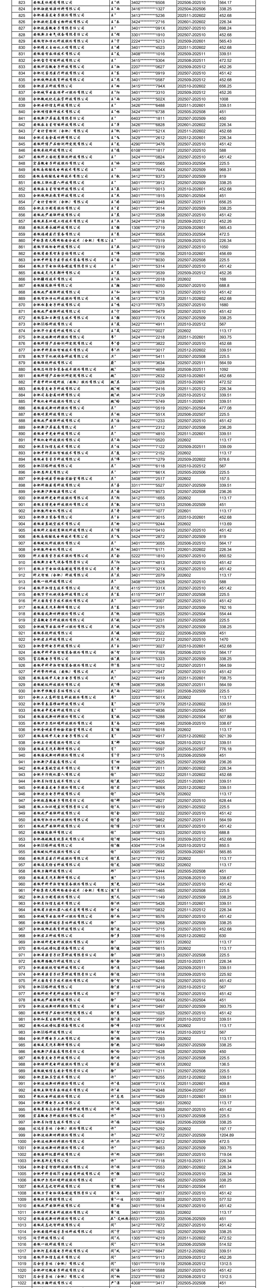
合肥高新区重点行业领域中小微企业社保补贴(第三批)公示表
现将合肥高新区重点行业领域中小微企业社保补贴(第三批)公示如下,公示期为2026年4月10日-2026年4月16日,公示期间,如有任何意见请与合肥高新区组织人事局联系,联系电话:0551-65359609。
重点行业领域社保补贴 (第三批) 公示.xls







详情点击最下方阅读原文


合肥高新区重点行业领域中小微企业社保补贴(第三批)公示表
现将合肥高新区重点行业领域中小微企业社保补贴(第三批)公示如下,公示期为2026年4月10日-2026年4月16日,公示期间,如有任何意见请与合肥高新区组织人事局联系,联系电话:0551-65359609。
重点行业领域社保补贴 (第三批) 公示.xls







详情点击最下方阅读原文
