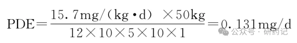
PDE计算的一般公式:PDE(mg/day)=

某药中含有杂质b,B药临床剂量为300mg/d。杂质b的小鼠肿瘤发生的NOEL值为15.7mg/(kg·d),则根据公式计算如下:

F1=12,考虑从小鼠外推到人;
F2=10,考虑人的个体差异;
F3=5,考虑研究的持续时间只有13周;
F4=10,考虑发现严重毒性;
F5=1,考虑已测得无反应水平。

药物每日最大用量需严格按照说明书、临床应用规范确定。
举例说明:若某产品的PDE值为50μg/天,最大每日剂量为10mg/天,那么限度值 = 50μg ÷ 10mg = 5μg/mg(微克/毫克),即每毫克产品中,残留物质的安全上限为5微克。
OEL等级,即职业暴露限值(Occupational Exposure Limit),是指劳动者在职业活动中,长期接触某种有害物质而不产生健康危害的最大浓度。通常我们会将第一步算出的限度值,换算为OEL常用单位(mg/m³,毫克/立方米),换算公式如下:
OEL = 限度值✖1000
换算后,对照国内药企通用的OEL四级分类标准,就能快速判定产品的风险等级——等级不同,对应的生产要求天差地别,直接决定是否需要专线生产。
OEL等级 | OEL值(mg/m³) | 风险等级 |
低风险低级,不需要专线生产,可与其他低风险产品共线生产;
中风险低级,不需要专线,但需加强清洁验证,确保残留达标;
高风险等级,建议专线生产;若条件不允许,需采取强隔离、独立排风等严格防控措施;
极高风险等级,必须专线生产,严禁与其他任何产品共线,避免交叉污染;
因此,药企或药厂在立项或新增项目时,必须提前评估是否需要专线生产。专线与否,直接决定了厂房布局、设备投入、清洁验证、合规成本等一系列关键支出,从源头就绑定了项目的整体成本与盈利能力。
