发布信息
登陆/注册
搜索
搜索
导航
首页
产品供应
产品求购
企业库
酒业展会
行业资讯
认证会员
站内搜索
行业企业
当前位置:
首页
行业企业
正文
6601万元预算!工业互联网项目最新招标汇总
作者:本站编辑
2026-01-02 13:09:23
9
6601万元预算!工业互联网项目最新招标汇总
看看
近一周
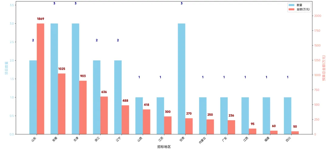
(10月10日~10月17日)工业互联网
招标项目情况
,据不完全统计,本次整理到
22个
项目。
预算总
6601.23万元
金额。
(仅整理公布具体金额的项目)。
上期链接:
1938万元预算!工业互联网项目最新招标汇总
本周采购方数量详情:
金额TOP3地区
:山东(1,869万元,2个项目),安徽(1,025万元,3个项目),天津(903万元,3个项目)。
往期
精彩
回顾
!)
24个案例 | 中央企业人工智能应用场景优秀案例(可下载)
毕马威2025年智能制造:以人工智能驱动转型并创造价值报告(可下载)
中国未来50年产业发展趋势白皮书:聚焦人工智能、智能制造等五大核心产业
60个AI应用场景 | 《制造业领域人工智能技术应用参考指引(2025年版)》发布
共1043页!新赛道“低空经济”资料合集(限时下载)
共329页!最新2024人工智能资料合集一键下载!
共349页PPT!工业互联网智能工厂方案合集(限时下载)
共185页PPT!工业互联网智能工厂总体建设方案合集(限时下载)
共233页PPT!华为数字化转型合集(限时下载)
为方便大家及时拿到行业资料,工业互联说现在推出[升级版]服务,
扫码加入[
[
XG云数智·知识岛
]获取最工业互联说、5G、元宇宙
、
数字化资料!
每日持续更新
随时随地查看
↓
下一篇:
2016年工业强基工程招标公告(TC160A310)
上一篇:
这些工业污水处理项目发布招标信息
相关内容
查看全部
工信部《光伏制造
2026-03-22 03:18
行业动态 | 走进A
2026-03-22 02:31
聚焦 | 2022广东
2026-03-22 02:28
行业困局与破局之
2026-03-22 02:00
美业革新:医美行
2026-03-22 01:35
凝心聚力启新程
2026-03-22 01:05
白酒价格带“哑铃
2026-03-22 01:03
在大连苏打酒货源
2026-03-22 01:02
投资黄金科技企业
2026-03-22 00:31
360亿砸向红海:中
2026-03-22 00:25