发布信息
登陆/注册
搜索
搜索
导航
首页
产品供应
产品求购
企业库
酒业展会
行业资讯
认证会员
站内搜索
行业企业
当前位置:
首页
行业企业
正文
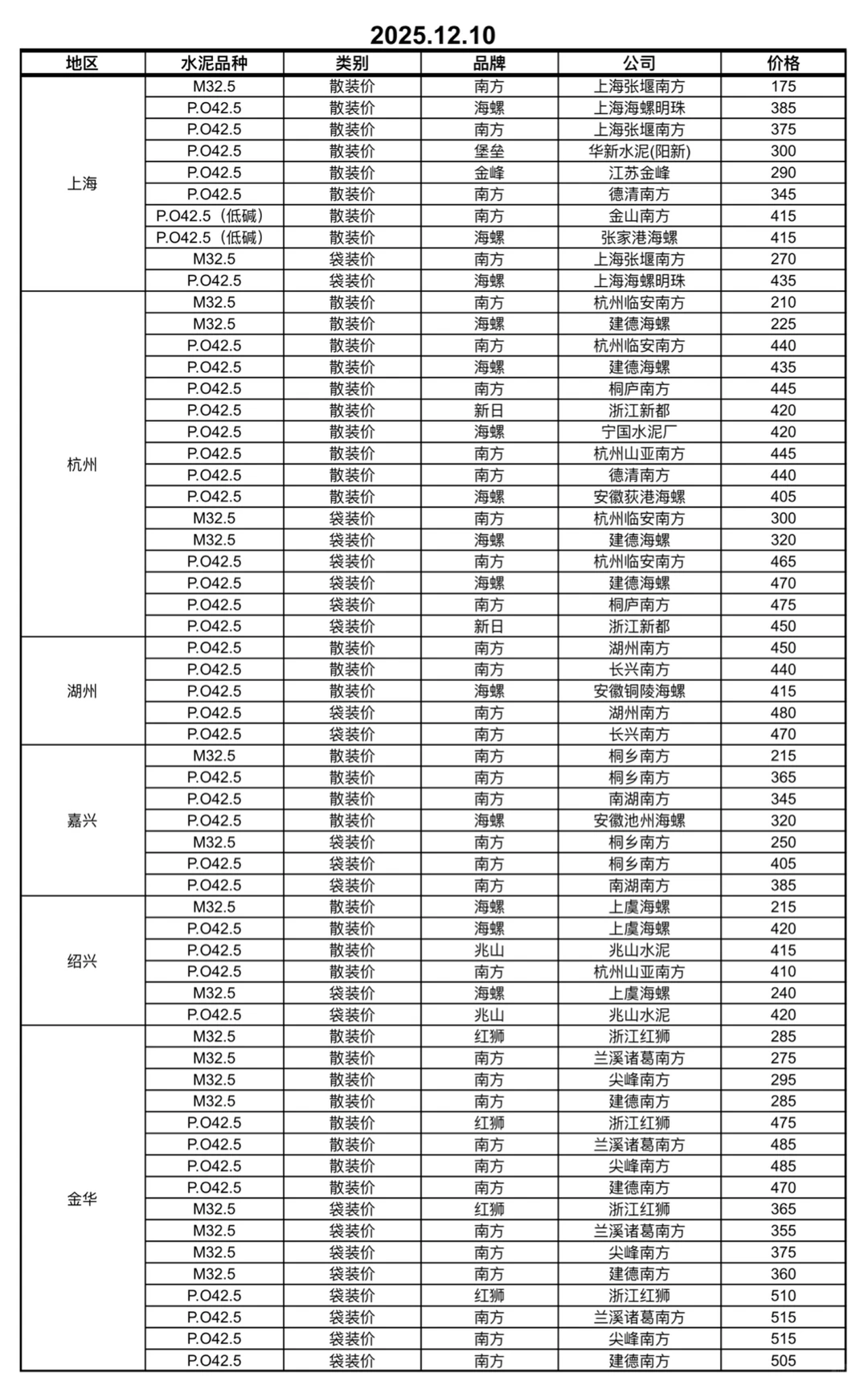
快看!水泥又更新啦!12.10日水泥价格!请查收
作者:本站编辑
2025-12-12 02:25:52
8
快看!水泥又更新啦!12.10日水泥价格!请查收
数据参考百年建筑网,以上仅仅展现部分,需要更多私信(点赞关注!!)
散装价和袋装价来源于市场商家报价,此价格仅供参考,具体成交价格按实际交易量、付款方式、运距等情况而定
点赞关注+评论后,私信我,获得更多水泥价格资讯
#水泥价格
#水泥市场行情
#华东地区水泥
#百年建筑网
#水泥多少钱一吨
下一篇:
快看!水泥又更新啦!12.09日水泥价格!请查收
上一篇:
招投标管理看完面试捡到宝了
相关内容
查看全部
一条生产线、两份
2026-02-13 16:44
招采速递 | 2月13
2026-02-13 16:28
【无人机行业】无
2026-02-13 16:22
【行业资讯】住房
2026-02-13 16:20
CAGR为15.8%,视觉
2026-02-13 16:19
行业看淡风云 企
2026-02-13 16:19
深耕文旅行业需求
2026-02-13 16:18
新京报:多地税务
2026-02-13 16:14
探秘宜春那些隐退
2026-02-13 16:13
鹤岗市中小微企业
2026-02-13 16:12