发布信息
登陆/注册
搜索
搜索
导航
首页
产品供应
产品求购
企业库
酒业展会
行业资讯
认证会员
站内搜索
行业企业
当前位置:
首页
行业企业
正文
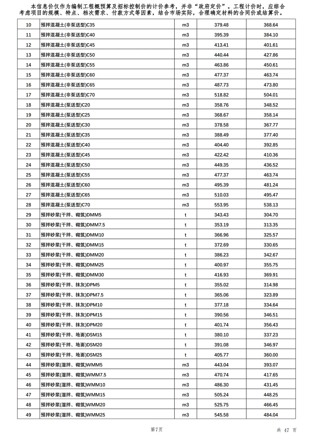
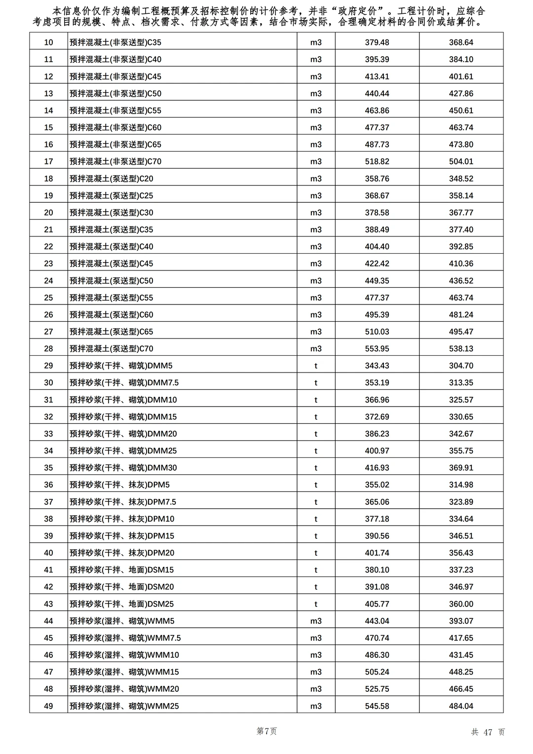
最新建设工程材料市场信息价格
作者:本站编辑
2025-12-01 15:17:10
4
最新建设工程材料市场信息价格
在建设工程领域,建设工程材料市场信息价格是一个关键要素,它如同建筑大厦的基石,对整个工程的顺利推进和成本控制起着至关重要的作用。
#工程人
#建设工程
#建筑材料
#工程造价
#成本
#行情
下一篇:
明显感觉环境类专业的新风口来了...
上一篇:
突然发现,服装打板的尽头。。。
相关内容
查看全部
第一次上门见岳父
2025-12-17 19:54
为什么 99% 的红
2025-12-16 23:49
2025汾酒经销商大
2025-12-16 23:46
入行葡萄酒业三年
2025-12-16 23:44
顶俏模式,酒水行
2025-12-16 23:31
「谁杀死了葡萄酒
2025-12-16 23:29
也是做上白酒销售
2025-12-16 23:26
2025年12月飞天茅
2025-12-16 23:24
0经验如何入职酒
2025-12-16 23:21
白酒行业春天有多
2025-12-16 23:09