发布信息
登陆/注册
搜索
搜索
导航
首页
产品供应
产品求购
企业库
酒业展会
行业资讯
认证会员
站内搜索
行业企业
当前位置:
首页
行业企业
正文
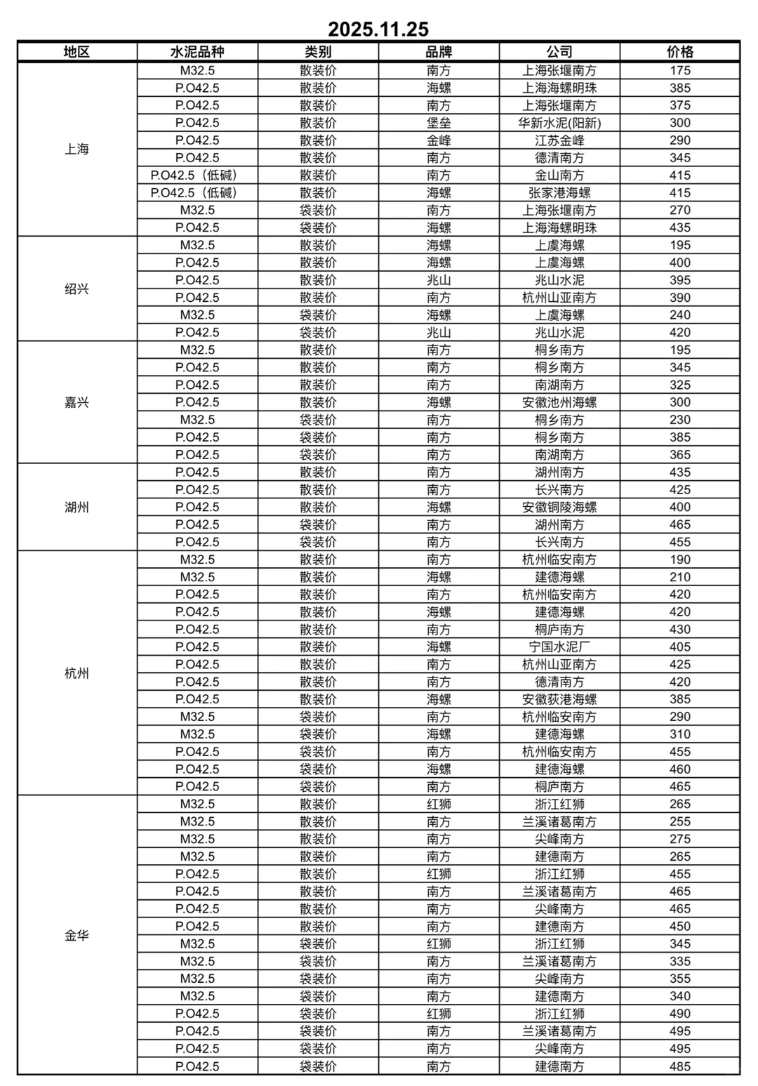
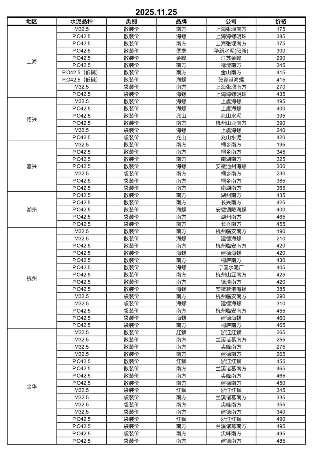
快看!水泥又更新啦!11.25日水泥价格!请查收
作者:本站编辑
2025-11-26 03:41:54
5
快看!水泥又更新啦!11.25日水泥价格!请查收
数据参考百年建筑网,以上仅仅展现部分,需要更多私信(点赞关注!!)
散装价和袋装价来源于市场商家报价,此价格仅供参考,具体成交价格按实际交易量、付款方式、运距等情况而定
点赞关注+评论后,私信我,获得更多水泥价格资讯
#水泥价格
#水泥市场行情
#华东地区水泥
#百年建筑网
#水泥多少钱一吨
下一篇:
邢台宇卓全自动弯箍机:钢筋加工的智能革新
上一篇:
设计师工长:怎么找到建材供应商
相关内容
查看全部
SCMP认证X3教材《
2026-02-05 13:07
招标公告 | 黑龙
2026-02-05 13:03
我司软膏剂生产线
2026-02-05 13:00
港股机会 |先导智
2026-02-05 12:59
娄底招聘生产线操
2026-02-05 12:56
粉状还是颗粒?小
2026-02-05 12:53
全球首发!这条生
2026-02-05 12:16
瑞银——中国汽车
2026-02-05 12:10
又一PCB行业企业
2026-02-05 12:09
整治旅游行业导游
2026-02-05 12:08