发布信息
登陆/注册
搜索
搜索
导航
首页
产品供应
产品求购
企业库
酒业展会
行业资讯
认证会员
站内搜索
行业企业
当前位置:
首页
行业企业
正文
【电力系统】基于主从博弈的新型城镇配电系
作者:本站编辑
2025-11-20 15:33:04
8
【电力系统】基于主从博弈的新型城镇配电系
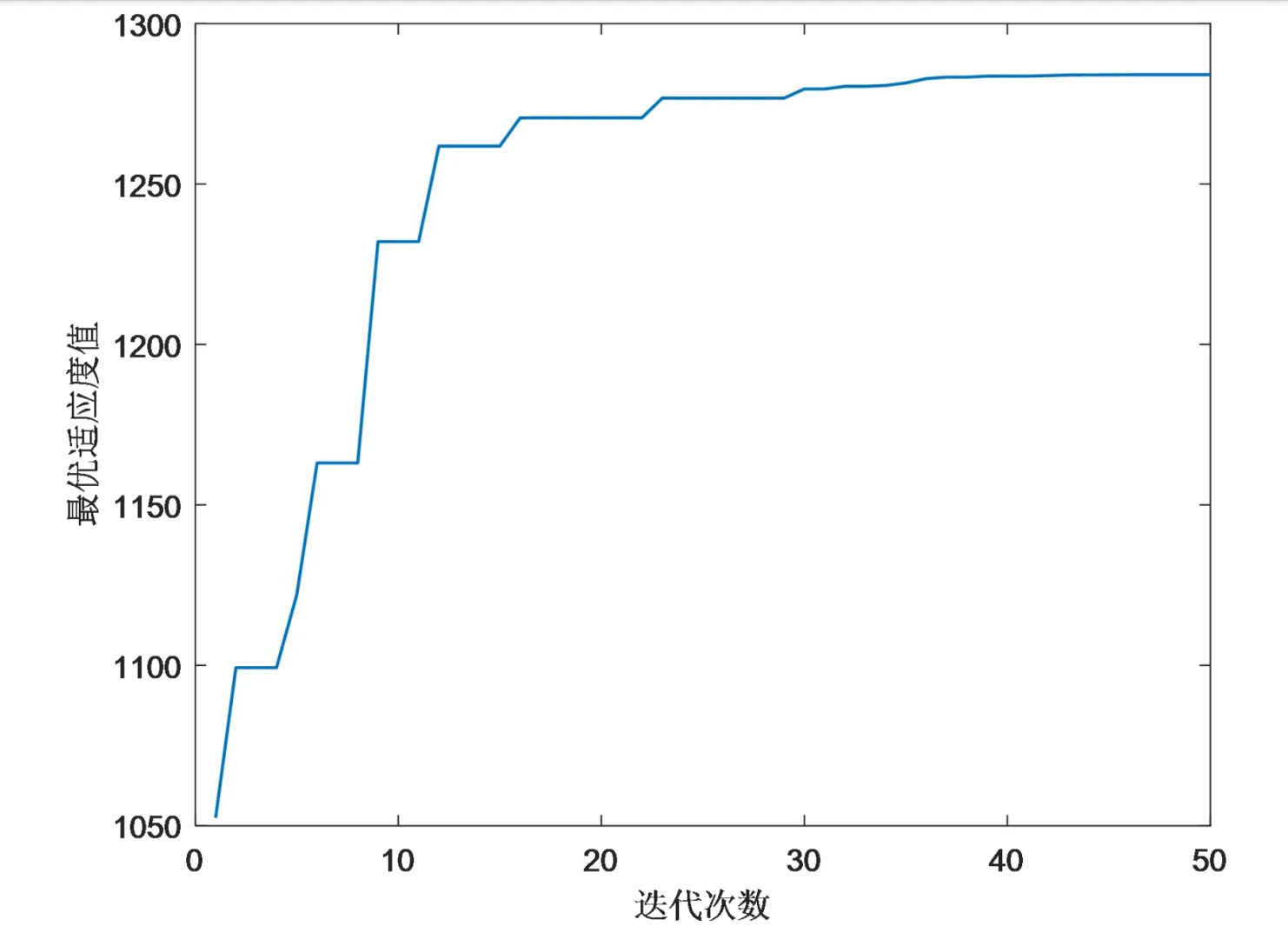
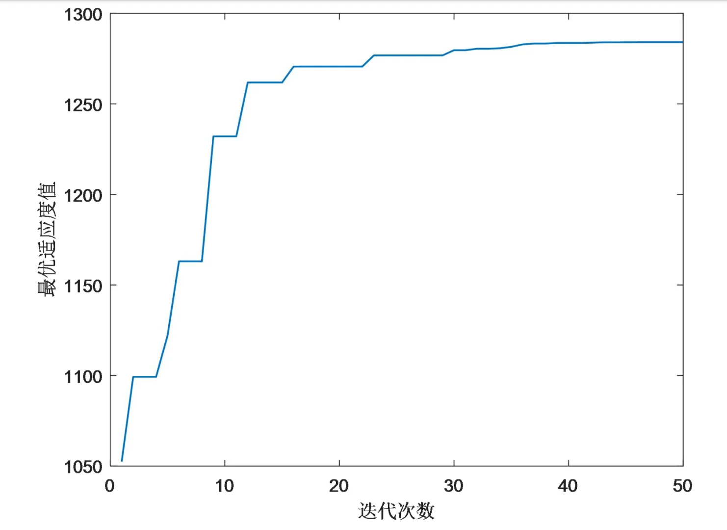
【电力系统】基于主从博弈的新型城镇配电系统产消者竞价策略【IEEE33节点】Matlab代码EI复现
#matlab代码
#电力
#配电
下一篇:
输送机械制造商
上一篇:
聚焦9.19日江苏、上海、浙江地区水泥价格
相关内容
查看全部
【行业政策】《优
2026-04-03 00:10
商会多家企业入选
2026-04-03 00:08
倾听企业心声 助
2026-04-02 23:25
全国压铸行业首个
2026-04-02 23:24
揭露白酒销量持续
2026-04-02 23:06
2026-2028 年中国
2026-04-02 23:05
工信部发布符合《
2026-04-02 22:56
2026年4月2日(酒
2026-04-02 22:53
精准把握行业痛点
2026-04-02 22:50
行业巨震!光伏出
2026-04-02 22:48