


身处市场价值的某阶段,我们很难想象下一个阶段会是什么样子:是知识价值创造,员工忠诚,客户忠诚,还是客户忠诚加特殊的信息流?
从企业设计创新来看,我们观察到的最显著的一点是,不同企业设计之间有很大不同。不同行业的企业有不同的企业设计创新,同一行业的企业设计也有很大不同。
可口可乐公司企业设计的成功逻辑与通用电气公司的企业设计截然不同。美国热电公司和嘉信理财公司的企业设计也有天壤之别。同样,微软公司和迪士尼公司也是如此。
创新事关客户和盈利能力,但从根本上取决于是否有创造力,取决于能否规划出一个独一无二的企业设计。
研究创新者以及他们如何发现或者创造本行业的利润区,最大的好处是能了解企业的创造性过程是如何发生的(每隔5年企业设计如何变化),需要遵循什么样的原则(在客户与利润方面),以及它的成果会有多大。

企业设计创新推动公司价值增长
在注重市场占有率的时代,公司会努力创造和维护可持续竞争优势。现在,除了专利和受保护的市场外,已经不存在这种长期的可持续竞争优势了,但存在长期的价值增长,即持续10年、20年,甚至更长时间的价值增长。
创造持续的价值增长要求每隔5年就对企业设计进行调整。不少创新公司已经证明,这一要求不仅可能实现,而且会带来非同一般的结果。注意下图1和图2中体现出的因果关系。可口可乐公司企业设计的变化(从装瓶商特许经营模式到美国装瓶商管理模式,再到国际价值链管理模式),尽管提高了公司的资产密集度,但它显著改善了其他方面的财务指标(销售利润率、预期利润增长率和战略控制或利润保护)。这些财务参数的变化提高了公司的估值,其市值与销售额的比值从1980年的0.7提高到1996年的7.0(见图2)。总体来看,这些因素为可口可乐公司创造了长期的价值增长,使它成为世界上最具价值的公司之一。

可口可乐公司的企业设计创新

可口可乐公司的市值增长
在每一个创新企业里,同样的因果机制都在发挥作用:企业设计创新推动了财务绩效的改进,而财务绩效的改进则提高了企业的估值,企业估值又推动了价值增长。这种价值增长和不断攀升的估值模式得到了创新企业的一贯坚持,以至人们会认为出现这样的结果是理所当然的。将这些创新企业的表现跟标准普尔500强企业做对比是非常有用的,将这些创新企业与20世纪80年代市场占有率的主要领先者的价值增长绩效做对比,也颇具意义。
无论我们如何排列这些数据,有效的企业设计创新得到的回报都是非常惊人的。

九大创新企业与标准普尔500强企业、市场占有率领导者比较
注:*不算微软和英特尔,创新企业的年均复合增长率为20%
** 市场占有率领导者包括全美航空公司、伯利恒钢铁公司、数字设备公司、福特公司、通用电气公司、IBM公司、西尔斯公司、美国联合航空公司和美国钢铁公司

提高利润空间的悖论
经典的战略理论告诉我们,利润总是在下降而不是上升。在商品化、竞争日益加剧、产品过时和消费者力量日益强大等诸多因素的综合影响下,利润率往往会呈下降趋势。
在过去几十年中,这些因素的影响力确实增强了。每个领域里的竞争者都增多了,竞争也变成了全球性现象。信息流动得更快,竞争性模仿也不断加速。而且,由于面对的选择和信息越来越多,消费者的实力也越来越强大。与之前相比,企业获得利润的压力更大,利润率下降的速度也更快。
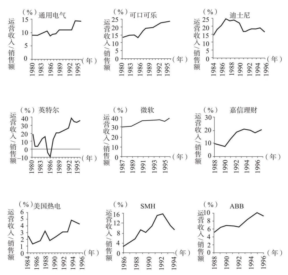
但对于创新者来讲,情况不是这样。有效的企业设计创新具有的力量体现在它们所创造的利润变化模式中。这些创新者的利润没有降低,甚至不是四平八稳,而是一直增长。

创新者的销售利润率
实现利润增长所依赖的收入组合的性质是非常重要的。通常情况下,重新制定企业设计时,公司都会提高重复性收入(与交易性收入相比较)的比值。比如嘉信理财公司收取的资产管理费、ABB集团的长期维护收入、通用电气公司的服务合同收入或者微软公司的升级收入等。在所有情况下,企业设计创新不仅能够满足客户的需求,而且能够为公司带来长期的利润增长。
将创新者的价值增长业绩视为理所当然,这种认识是错误的。认为一帆风顺的业绩增长来自谨小慎微的本分经营,也是一种错误的认识。事实刚好相反。企业设计创新要求实施重大的、非渐进性的举措,在实施这些举措的过程中会不可避免地出现重大失误。
创新企业中都曾经历过这样的重大失误。通用电气下属的基德皮博迪公司,英特尔推出的有缺陷的奔腾处理器,可口可乐公司的新可乐,嘉信理财对投资咨询师服务系统的运营梦魇,微软公司发布的每种产品的1.0版本,斯沃琪对电信产品的尝试,以及迪士尼公司在欧洲建立的迪士尼乐园等,都是失误的例子。
这样的例子有很多,可以列满好几页纸,并且它们可以成为另一本书的主题。关键的一点是,没有大失误就不会有大创造,创新者经历的失败要比普通人多得多。
然而,这些重大的失误可以归为两类。上面提到的这些是新思想或新企业设计失败的例子,属于第一类。
第二类重大失误是固守过去的机会和企业设计,从不冒险进行变革。这类管理失误类似于“目标锁定”失误。目标锁定是激光技术出现之前军事飞行中经常可以运用的技术。
在雷达制导的目标获取和摧毁技术出现之前,传统的攻击机飞行员都是俯冲投弹的好手。俯冲投弹的动作看似简单:飞行员驾机飞上2万英尺的高空,然后掉转机翼,开始向目标俯冲下去,接着,当飞机以500节的速度呼啸着直冲地面时,飞行员通常会发现投弹目标,并将投弹瞄准器与目标连成一线,只要一直保持一条直线,飞机就会沿着这一角度像离弦的箭一样直冲目标。同时,每隔几秒钟飞机就会降低1 000英尺。俯冲投弹看起来简单,但事实并非如此,特别是有人向飞机射击时,危险性会更大。
一个俯冲投弹飞行员最大的风险是“目标锁定”。飞行员要一直盯着目标以确保下降角度精准,这样他们往往会忘记高度,驾驶着飞机直冲地面。我们对当前的目标有着完美的把握(我们的目标对准了吗?),但是我们忘记了更加普遍的现实。

目标锁定是一个常见的管理问题。为了专注于任务或者简化任务,管理层会选择流程、衡量指标以及目标。
例如,市场占有率、价值增长率、成本优势、上市时机(或者退出市场的时机)都会被选定为目标。有关的数据会被记录下来并且绘制成图表。为了持续改进指标,中间过程会对错误进行修正,从而令整个系统得以协调。如果这些操作都能够顺利进行,那么这一流程将是非常有效的。当企业濒临失败边缘,每个人都意识到他们锁定的指标和目标错误时,企业就会破产。
为什么企业会破产?通常情况下,运用目标和衡量指标被视为有效的管理方法。管理层通常锁定以下目标:
• 当利润区转向服务领域时,目标是过去的市场占有率或者过去的企业设计;
• 在一个商品化、无利润的行业部门内实现收入增长;
• 当在价值链的其他环节创造出价值时,目标是降低单位制造成本;
• 将错误的产品快速推向市场;
• 未达到由客户偏好和系统经济模式确定的目标的服务;
• 在客户看来无法满足他们质量要求的质量控制统计图表。
简单来说,管理层试图完善的是过去的企业设计。机遇已经从他们身边溜走了,然而他们相信,只要再做好、做大一点儿,他们就能立于不败之地。他们实际上打的是一场早就应该打的仗。实际上,新的客户偏好和竞争对手的企业设计已将战场转移和重新定位了。此时,指导企业发展的旧指标、程序和文化通常都已经过时了。
当今世界,信息和市场瞬息万变,企业设计周期大大缩短。因此,避免目标锁定并带领公司抓住新机遇,可能是创新者扮演的一个最重要的角色。
目标锁定有助于我们了解许多市场占有率领先者将目标锁定为市场占有率而失败的原因。真正重要的是确定利润区在哪里,从而为此创造新的企业设计,并创造市场价值。在过去几年中,随着越来越多的公司意识到,不断变化的市场需要制定以利润和价值为目标的企业设计,而不是制定只以市场占有率为目标的企业设计。衡量公司成功与否的指标发生了很大变化。
同时,创新者对当前的模式并不满意。事实上,他们非常担忧。他们关心的是企业的“市值”阶段能够维持多久,下一个阶段会如何。由于他们都非常憎恶不必要的风险,因此他们不愿意再次经历长达10年之久的脱轨,但传统的市场占有率领先企业往往都有这样的经历。创新者关心的是下一次转变会是什么。
身处市场价值的某阶段,我们很难想象下一个阶段会是什么样子:是知识价值创造,员工忠诚,客户忠诚,还是客户忠诚加特殊的信息流?
我们现在还不知道。但是,正因为如此,我们才需要广开言路、集思广益,运用企业集体智慧发掘下一次衡量指标革命会是什么。我们必须避免目标锁定带来的极大风险,了解企业设计创新的根本要素可能是为不确定的未来所做的最好准备。
作者:亚德里安·斯莱沃斯基,哈佛商学院工商管理硕士,哈佛法学院法学博士,美世咨询公司前副总裁
来源:《发现利润区》,中信出版集团


