西拉红葡萄酒瓶装过程中目标酚类陈酿标志物分析:软木塞氧转移速率的影响
期刊:Food Chemistry(8.8)
发表日期:2024.01
研究摘要
在24个月的时间里,建立了西拉红葡萄酒陈酿实验,并研究了4种微团聚软木塞的影响。选择特定的酚类陈酿标志物并半合成:葡萄素B、锦葵素-乙基儿茶素和表儿茶素-磺酸盐。然后,使用MRM(多反应监测)操作的超高效液相色谱-三重四极杆质谱(UHPLC-QqQ-MS)开发并验证了这些标记物的靶向定量方法。结果显示,随着陈酿过程的进行,天然葡萄多酚(花青素、黄烷醇)水平显著下降,而吡喃花青素、乙基连接色素和黄烷醇磺酸盐含量增加。软木氧转移速率是一个关键因素,对多酚浓度的演变有显著影响,但对黄烷醇-磺酸盐的形成没有显著影响。这些结果为葡萄酒陈酿过程中的化学演变提供了宝贵的见解,强调了软木塞选择在长期保持葡萄酒质量方面的关键作用。
研究背景
红葡萄酒中存在的多酚是在酿酒过程中从葡萄中提取的次生代谢产物,在决定葡萄酒的感官特征方面起着至关重要的作用。此外,红葡萄酒颜色的强度与其整体质量之间存在公认的正相关关系。因此,酚类成分成为评估红葡萄酒质量的重要参数。
葡萄酒陈酿是生产优质红葡萄酒的重要阶段,多酚是葡萄酒陈酿过程中转化反应的主要底物。红葡萄酒陈酿的主要转变是其颜色的演变,明亮的紫红色调逐渐向红棕色砖色调移动。这种变化主要是由于天然花青素浓度的降低,这些花青素逐渐且不可逆地被化学上更稳定的色素所取代。
陈酿过程中,涩味和苦味减少,口感变化明显。这可归因于氧化和非氧化聚合的发生,以及单宁等酚类化合物的沉淀,尤其是在瓶储陈酿过程中。此时,瓶中的总包装氧气(即溶解氧和顶空氧)以及通过瓶塞供应的氧气会影响葡萄酒的保质期。第一个因素是初始氧释放量(OIR),第二个因素是封闭的氧转移率 (OTR)。
由于多酚是各种化学反应的主要底物,并且是红葡萄酒陈酿过程中感官变化的主要原因,因此本文的主要目标是:
•开发UHPLC-QqQ-MS方法,对西拉红葡萄酒陈酿过程中选定的多酚进行定量分析。
•研究这些多酚在西拉葡萄酒陈酿过程中的动力学。
•研究微团聚软木氧转移速率对这些动力学的影响。
研究内容
1. 试剂、溶剂和标准品
2. 葡萄酒样品和瓶塞
表1. 红葡萄酒样品和软木塞的特征

装瓶后,每款葡萄酒的溶解氧浓度见表S1(补充数据)。
表S1. 装瓶后测定溶解氧

3. 酿酒参数
4. 锦葵素-3-O-葡萄糖苷-8-乙基儿茶素(锦葵素-乙基儿茶素)的合成
5. vitisin B的合成
6. 表儿茶素-SO3H的合成
7. 用于反应监测的UPLC-DAD-MS
8. 合成化合物的NMR表征
9. 多酚标准品的电化学表征
10. 单宁的UHPLC-DAD分析
11. 单体花青素的UHPLC-DAD分析
12. 多酚的UHPLC-QqQ-MS分析
表2. 定量化合物列表、MRM参数和校准范围

13. 统计分析
研究结果
1. 多酚标准品的选择、半合成和电化学表征
根据先前的研究,选择了代表葡萄酒陈酿过程中形成的不同多酚家族的三个关键分子(表3)。这些分子是:
•锦葵素-乙基-儿茶素:乙基连接色素家族。
•Vitisin B:吡喃花青素家族。
•表儿茶素-SO3H:黄烷醇磺酸盐家族。
表3. 合成陈酿标志物的家族和结构

合成后用H1 NMR对其结构和纯度进行了表征和定量。
此外,为了研究半合成陈酿化合物的氧化还原性质,并将其与天然葡萄酚类化合物进行比较,使用循环伏安法测定每个分子的形式电位(E'0),形式电位越低,还原性能越重要。
结果表明电位值按以下顺序增:表儿茶素-SO3H <表儿茶素 <锦葵素-乙基-儿茶素<儿茶素<锦葵素-3-O-葡萄糖苷<Vitisin B。这些氧化电位受其各自的化学反应性和结构特性的影响。对于花青素和衍生色素,与苯酚基团相邻的甲氧基的存在降低了分子的还原能力。
2. UHPLC-MS/MS方法的分析验证
验证参数如表4所示。
表4. UHPLC-MS/MS方法的分析性能
(线性度(R2);LOD:检测限,LOQ:定量限)

在验证过程中评估的第一个参数是基质效应,衡量方法的特异性。表儿茶素-3-O-没食子酸酯、原花青素二聚体B1、B2和表儿茶素-SO3H 没有表现出基质效应,其余化合物需要在红葡萄酒基质中进行校准。
表S4. 矩阵效应(Z-score)系数计算了两种西拉红酒与模型酒的比较

为了避免基质效应,选择了标准添加方法。进一步对方法线性、准确性、重复性、LOD、LOQ进行评估。结果表明,在给定条件下结果可靠、灵敏(表4)。
3. 红葡萄酒样品的初步表征
首先,在装瓶后对六款西拉红葡萄酒的酿酒参数和多酚组成进行了表征,详见表S5。
表S5. 陈酿前西拉红葡萄酒样品的特性

挥发性酸低于OIV限值,总酸度含量在2.72至3.41 g/L,pH值范围为3.64至3.97,酒精度12.95%至16.16%之间。游离SO2约30 mg/L,铜浓度范围为0.34至0.53 mg/L,,铁浓度为0.70至3.13 mg/L,没有不稳定的金属雾度沉淀的风险。
装瓶后黄烷-3-醇单体的浓度在102.65至242.90 mg/L,对于最年轻的红葡萄酒(CR1)来说,浓度更高。黄烷-3-醇二聚体的浓度在75.29至156.90 mg/L之间。单体花青素的浓度范围为111.91至352.41 mg/L,花青素单糖苷占总单体花青素的比例在64.4%至72.3%之间。另一方面,它们的乙酰化和香豆酰化的浓度较低,锦葵素-3-葡萄糖苷衍生物是最丰富的单体花青素。此外,在最初的葡萄酒中,陈酿多酚标志物的浓度低于天然多酚的浓度。
4. 瓶子储存过程中天然和陈酿多酚标记物的演变
图1所示的所有动力学曲线均基于每个分子的归一化百分比变化,天然化合物的t0 = 100%,陈酿标志物的t0 = 0%,以观察与装瓶时初始浓度相比减少和增加的百分比。

图1. 天然酚类物质(t0 = 100 %)和陈酿标志物(t0 = 0 %)在24个月内进化动力学曲线的标准化百分比
在瓶储的两年中,整体单体色素含量发生了重大变化。原始葡萄花青素显著减少,这可能是由于新色素的形成,特别是锦葵素-3-葡萄糖苷衍生物。但变化曲线没有显著差异,动力学类似于一级反应。然而,经过24个月的陈酿,不同葡萄酒的进化程度各不相同。初始浓度下降幅度从LR3的69%到CR2的近80%不等。在葡萄酒酸性介质中,花青素的主要形式是无色的甲醇。然而,由于葡萄酒成分的反应性和缓慢的氧化过程,这些花青素演变成更稳定的结构。在进化的花青素色素中,基于锦葵素的色素占主导地位,有助于在陈酿过程中形成新的更稳定的色素。事实上,陈酿过程中天然色素的流失和新色素的形成与葡萄酒中花青素的初始含量以及与花青素反应的化合物密切相关。减少百分比最高的葡萄酒具有最高的T/A比(单宁与花青素的比例)(CR2)。另一方面,T/A最低的葡萄酒是瓶装陈酿过程中花青素减少最低的葡萄酒(LR3)。
在24个月的瓶储期间,所有葡萄酒中天然黄烷醇单体和二聚体浓度持续下降,但并不遵循可能的一阶动力学模式,而是具有线性型递减曲线。具体而言,单体黄烷醇的下降百分比在10%至22.4%之间,二聚黄烷醇的下降百分比在12.4%至21.4%之间。
正如预期的那样,葡萄中天然多酚的浓度在陈酿过程中会降低,从而产生新的化合物,这些化合物可以被描述为多酚的陈酿标志物。
事实上,Vitisin A和B代表吡喃花青素,锦葵素-3-O-葡萄糖-乙基儿茶素代表乙基桥聚合色素,表儿茶素-SO3H代表黄烷醇磺酸盐化合物,形成并观察到不同的进化动力学。
来自锦葵素-3-O-葡萄糖苷和乙醛或丙酮酸的Vitisin吡喃花青素被认为是陈酿红葡萄酒颜色和感官属性的重要贡献者,陈酿的前12个月中,这些化合物的浓度显著且持续增加,并在陈酿24个月后逐渐趋于平稳。有趣的是,装瓶后初始浓度最低的葡萄酒表现出最高的百分比增长。这些多酚可以作为年轻红葡萄酒的早期陈酿指标。
在24个月的陈酿期内,与其他标志物相比,锦葵素-乙基-儿茶素的进化表现出非常明显的模式(图1E)。在前12个月中,其百分比显著增加,后逆转。与吡喃花青素相比,葡萄酒中这些特定色素的显著减少可能归因于它们固有的不稳定性。新形成的乙烯基黄烷醇随后可以与花青素相互作用,从而产生橙色的黄烷醇-吡喃花青素。此外,游离SO2在调节乙醇氧化过程中瓶中形成的乙醛含量方面起着重要作用。
吡喃花青素和乙基键合色素属于通过乙醛-多酚反应形成的两个代谢物家族。陈酿标志物表儿茶素-SO3H遵循不同的形成途径。由于葡萄酒中存在的黄烷醇和亚硫酸盐之间的反应,该标记物在整个陈酿过程中逐渐持续积累。这导致在黄烷醇的C环上形成4β-磺酸盐加合物。
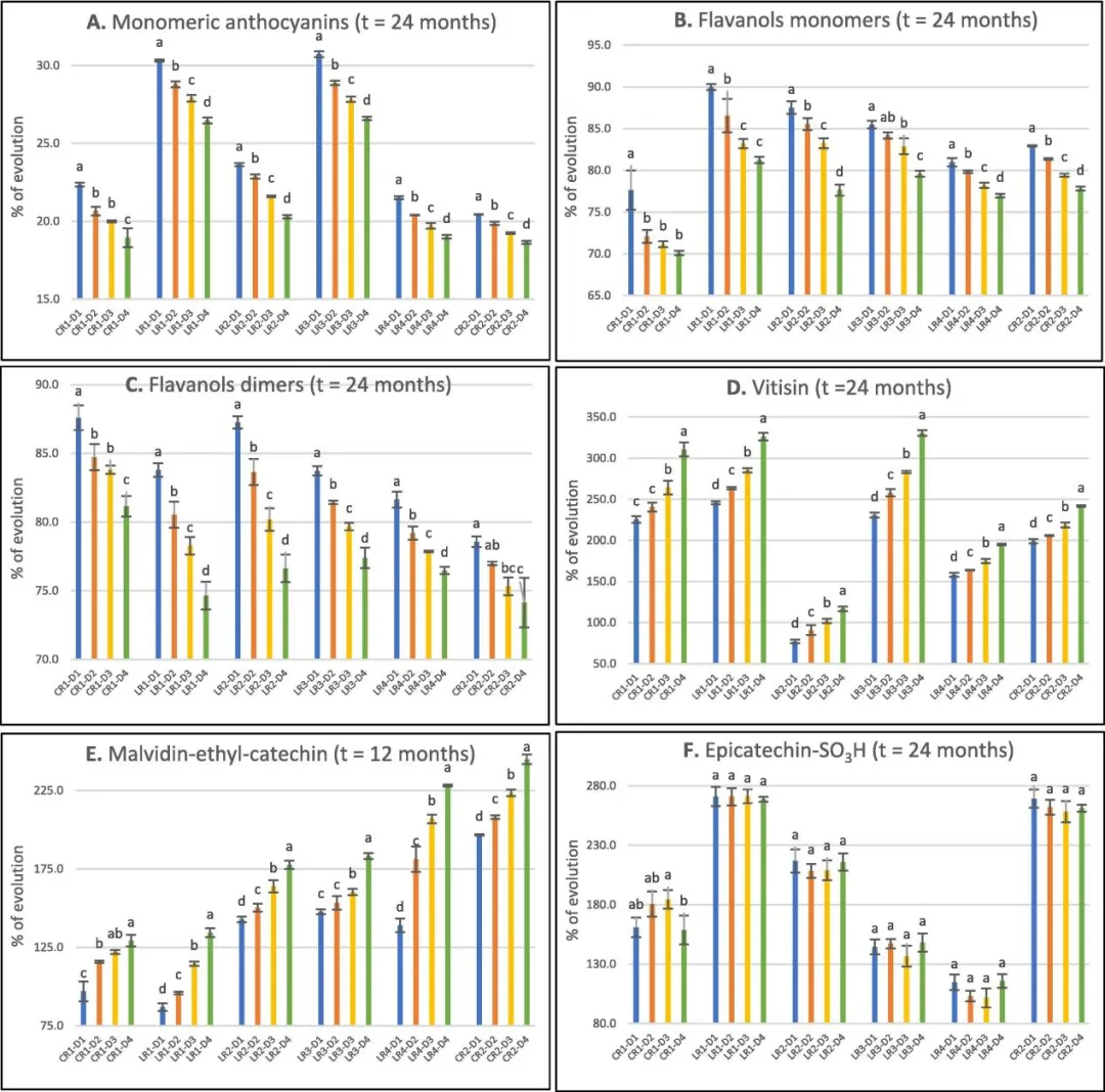
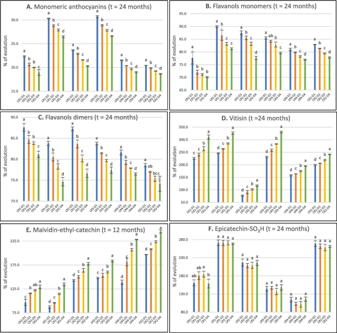
5. 软木塞OTR对多酚进化的影响
如上一节所述,目标多酚在24个月内的整体演变取决于所分析的分子和所研究的红葡萄酒的类型。然而,还必须考虑软木塞对这些曲线的影响,特别是对于归因于氧化机制的变化。葡萄酒使用四种具有不同OTR的微团聚软木塞装瓶,称为D1、D2、D3和D4,其各自的特性见表1。
在研究OTR对单体花青素进化的影响时(图2A),随着时间的推移,总单体花青素明显减少,并且在24个月后OTR增加,无论所研究的具体葡萄酒样品如何。

图2. 每种葡萄酒/软木塞组合在12个月或24个月时天然酚类物质(t0 = 100%)和陈酿标志物(t0 = 0%)的标准化进化百分比
这一观察结果与文献中报道的结果一致。LR4和CR2两款葡萄酒样本表现出相似的趋势。在给定的陈酿时间内,两种极端软木类型(D1 和 D4)之间的进化百分比(ΔE%)差异从CR2的1.8 %到LR3的4.1%不等。葡萄中天然存在的三种花青素都观察到了这种一致的趋势。事实上,OTR的上升促进了这些分子参与花青素和黄烷醇之间的氧活化反应,如吡喃花青素和乙基连接的色素形成。
陈酿24个月后,OTR对天然黄烷醇单体和二聚体的影响与单体花青素相似,但进化百分比显著降低。增加OTR显著减少低分子量多酚。
每种葡萄酒/软木塞组合(图2D)在24个月内的Vitisin(A和B)的演变百分比具有相反的趋势。在陈酿的早期阶段,吡喃花青素的浓度趋于稳步增加。另一组氧化标志物,即乙基连接的色素,在最初的12个月内增加,随后下降(图2E)。与葡萄素色素类似,随着软木塞OTR的增加,锦葵素-乙基-儿茶素增加,所有葡萄酒的趋势都相似。较高的软木OTR通过乙醛的形成促进了花青素氧化转化为乙基连接色素。而对表儿茶素-SO3H(图2F),这种化合物在不同软木塞中的演变没有显著差异。这表明黄烷醇磺酸盐的形成不受软木塞OTR的影响。黄烷醇磺酸盐的形成似乎在很大程度上与氧气的存在无关,并且主要由葡萄酒基质中的其他化学相互作用驱动。
研究结论
红葡萄的主要色素花青素在陈酿过程中发生了显著变化,原有的葡萄花青素减少,并形成了新的色素,特别是锦葵素-3-葡萄糖苷衍生物。黄烷醇的浓度也呈线性下降,显示出它们在各种氧化和非氧化反应中的反应性。相比之下,吡喃花青素、乙基连接色素和黄烷醇磺酸盐的形成在陈酿过程中具有不同的模式。软木塞OTR在影响多酚类物质的进化中起着至关重要的作用,较高的OTR导致天然多酚的减少,葡萄素和乙基连接色素的增加,但对黄烷醇磺酸盐的形成没有显著影响。这项研究为葡萄酒陈酿过程中发生的化学转变提供了宝贵的见解,并强调了软木塞选择在长期保持葡萄酒质量方面的重要性。该领域的进一步研究有助于优化葡萄酒陈酿过程,并增强对葡萄酒中多酚演变因素的理解。

