上海服装城股份有限公司拟提请裁定确认债权公告
作者:本站编辑
2024-01-02 23:13:47
36
上海服装城股份有限公司债权人:
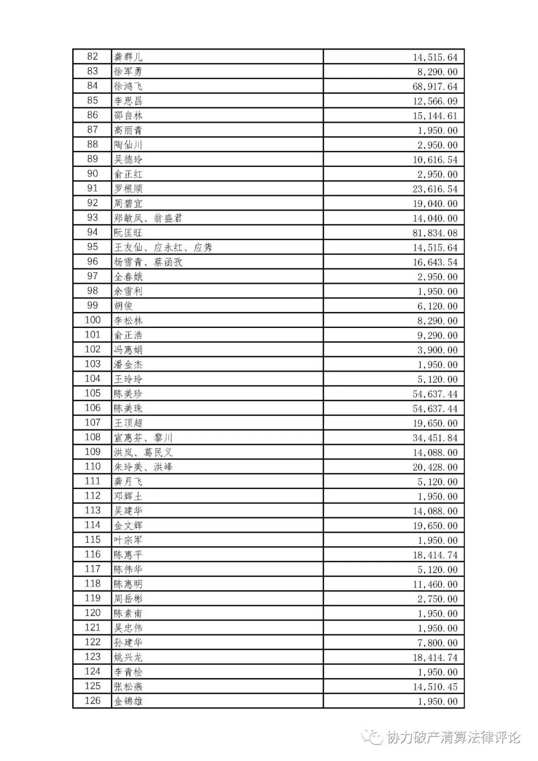
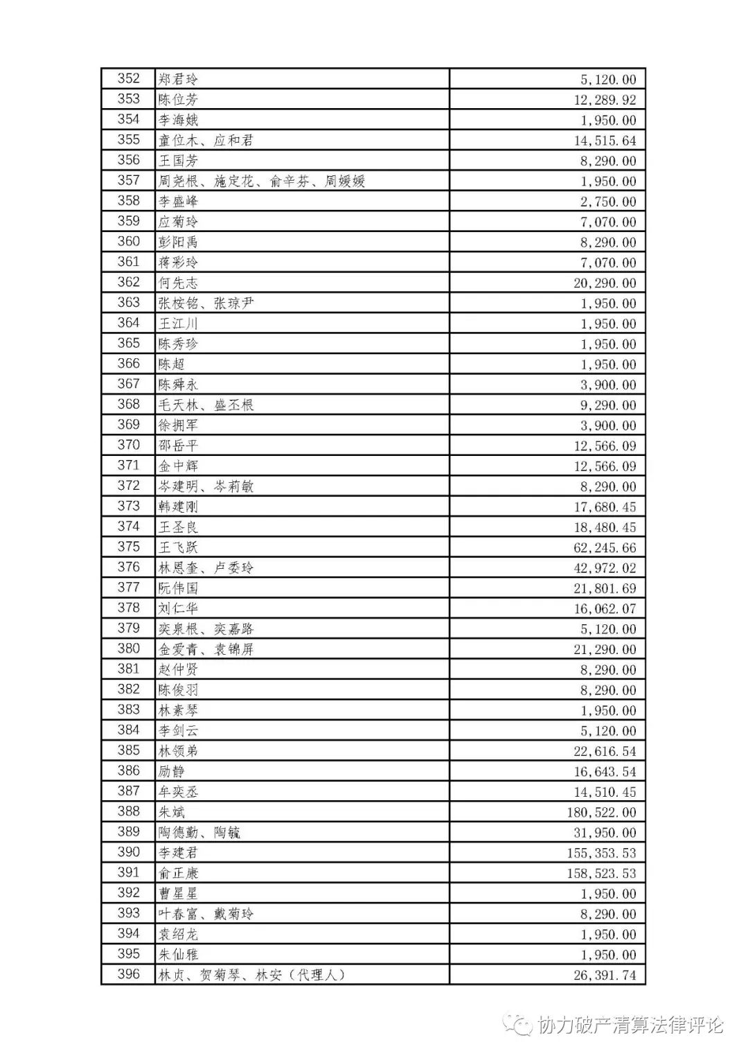
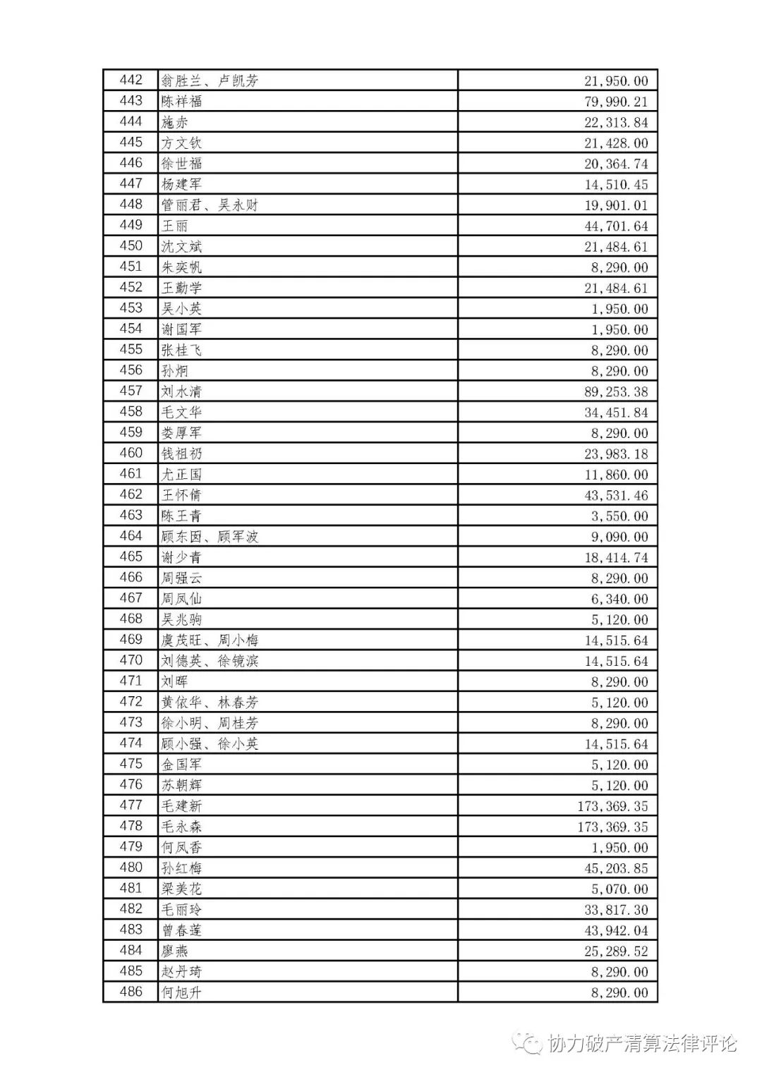
2023年12月17日,上海服装城股份有限公司管理人召开第四次债权人会议,提请各位债权人对管理人审核认定债权进行核查,现十五天异议期已经过,管理人拟提请上海市第三中级人民法院裁定确认无异议债权,无异议债权人名单附后。特别提醒:若您在异议期内提出异议,但仍在附件名单里,请于2024年1月4日晚上8点前向管理人信箱pochan@co-effort.com发送邮件。上海服装城股份有限公司管理人
2024年1月2日














